Главная >> Алгебра. 8 класс. Макарычев

§ 7. Применение свойств арифметического квадратного корня

Преобразование выражений, содержащих квадратные корни

Мы рассмотрели ряд преобразований выражений, содержащих квадратные корни. К ним относятся преобразования корней из произведения, дроби и степени, умножение и деление корней, вынесение множителя за знак корня, внесение множителя под знак корня. Рассмотрим другие примеры преобразований выражений, содержащих квадратные корни.

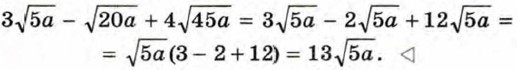
Пример 1. Упростим выражение

Вынесем за знак корня в выражении число 2, а в выражении число 3. Получим

Заменив сумму выражением мы выполнили приведение подобных слагаемых. Запись можно вести короче, не выписывая промежуточный результат.

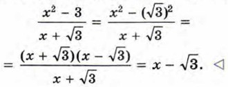
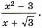
Пример 2. Сократим дробь Так как 3 = (√3)2, то числитель данной дроби можно представить в виде разности квадратов двух выражений. Поэтому

Пример 3. Преобразуем дробь так, чтобы знаменатель не содержал квадратного корня.

Умножив числитель и знаменатель дроби на √2, получим

Мы заменили дробь тождественно равной дробью не содержащей в знаменателе знака корня. В таких случаях говорят, что мы освободились от иррациональности в знаменателе дроби.

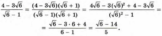
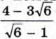
Пример 4. Найдём с помощью калькулятора приближённое значение выражения двумя знаками после запятой.

Вычисления будут проще, если предварительно освободиться от иррациональности в знаменателе дроби. Для этого умножим числитель и знаменатель данной дроби на сумму √6 + 1. Получим

Проведя вычисления, найдём, что

Упражнения

421. Упростите выражение:

422. Упростите выражение:

Продолжение >>>

 

 

???????@Mail.ru