Главная >> Алгебра. 8 класс. Макарычев

§ 1. Рациональне дроби и их свойства

Основное свойство дроби. Сокращение дробей (продолжение)

Упражнения

23. Укажите общий множитель числителя и знаменателя и сократите дробь:

24. Сократите дробь:

25. Представьте частное в виде дроби и сократите её:

    а) 4а2b3 : (2а4b2);
    б) 3ху2 : (6х3у3);
    в) 24p4q4 : (48p2q2);

    г) 36m2n : (18mn);
    д) -32b5с : (12b4с2);
    е) -6ах : (-18ах).

26. Сократите дробь:

27. Найдите значение выражения:

28. Сократите дробь:

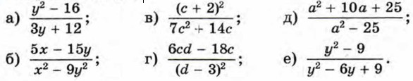
29. Разложите на множители числитель и знаменатель дроби и сократите её:

30. Сократите дробь:

31. Сократите дробь:

32. Найдите значение дроби:

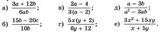
33. Сократите дробь:

34. Представьте частное в виде дроби и сократите её:

    а) (9x2 - у2) : (3x + у);
    б) (2аb - а) : (4b2 - 4b + 1);

    в) (x2 + 2x + 4): (х3 - 8);
    г) (1 + а3): (1 + а).

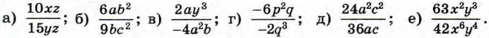
35. Сократите дробь:

36. (Для работы в парах.) Постройте график функции:

    1) Обсудите, что общего у дробей, задающих функцию в заданиях а) и б). Как надо учитывать эту особенность при построении графиков?
    2) Распределите, кто выполняет задание а), а кто — задание б), и выполните их.
    3) Проверьте друг у друга, правильно ли выполнено задание. Исправьте замеченные ошибки.

37. Из выражений выпишите те, которые:

    а) тождественно равны дроби ;
    б) противоположны дроби .

<<< К началу          Окончание >>>

 

 

???????@Mail.ru