Главная >> Алгебра. 8 класс. Макарычев

§ 1. Рациональне дроби и их свойства

Основное свойство дроби. Сокращение дробей (окончание)

38. Упростите выражение:

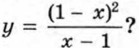
39. Какой из графиков, изображённых на рисунке 2, является графиком функции

40. Сократите дробь:

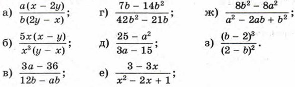
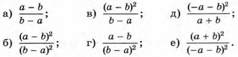
41. Сократите дробь:

42. Упростите выражение:

43. Найдите значение выражения:

44. Сократите дробь:

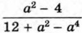
45. (Задача-исследование.) Верно ли, что при всех значениях а, отличных от -2 и 2, значение дроби является отрицательным числом?

    1) Выберите произвольное значение а, отличное от -2 и 2, и сравните с нулём соответствующее значение дроби.
    2) Обсудите, какое преобразование дроби поможет найти ответ на вопрос задачи.
    3) Выполните это преобразование и сделайте вывод.

46. Докажите, что значение дроби не зависит от n, где n — натуральное число:

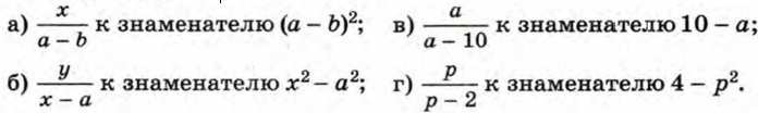
47. Приведите к знаменателю 24а3b2 следующие дроби:

48. Представьте выражение 2а + b в виде дроби со знаменателем, равным:

    а) b; б) 5; в) 3а; г) 2а - b.

49. Приведите дробь:

<<< К началу       Ответы >>>

 

 

???????@Mail.ru