Главная >> Алгебра. 8 класс. Макарычев

§ 1. Рациональне дроби и их свойства

Основное свойство дроби. Сокращение дробей: Ответы

Упражнения для повторения

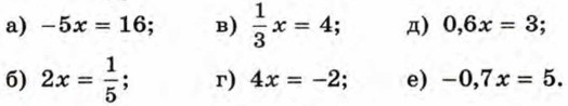
50. Решите уравнение:

51. Разложите на множители:

    а) 5bс - 5с;
    б) 10n + 15n2;
    в) 8ab + 12bс;
    г) 5у - 5х + у2 - ху;
    д) а2 - 9;

    е) х2 + 10х + 25;
    ж) у2 - 2у + 1;
    з) а3 + 64;
    и) b3 - 1.

52. Расположите выражения:

    в порядке возрастания их значений;
    б) 0,8 • (-0,4), 0,8 : (-0,4), 0,8 - (-0,4), 0,8 + (-0,4) в порядке убывания их значений.

Контрольные вопросы и задания

1. Приведите примеры целых выражений; дробных выражений.

2. Какую дробь называют рациональной? Приведите пример.

3. Дайте определение тождества. Приведите пример.

4. Сформулируйте и докажите основное свойство дроби.

5. Сформулируйте правило об изменении знака перед дробью.

Ответы

    25.

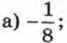
    27. а) 1; б) 3.

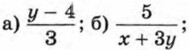
    29. е) 3х.

    30.

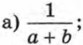
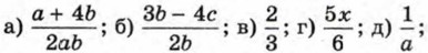
    31. б) а2 + ab + b2.

    32. а) 100; б) 1,5.

    33.

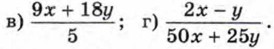
    34. а) 3х - у; г) 1 - а + а2.

    35.

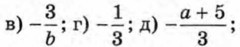
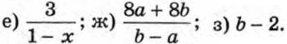
    38. а)-1; б) 1; в) b - а; д)а + b; е) 1.

    40.

    41.

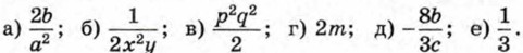
    42. а) х2; б) -у4; в) -b5; г) с3 + с2.

    43. 6)0,01.

    44. а) 4а - 4b; б) 9с + 27d;

    50. а)-3,2; б) 0,1; в) 12; г) -0,5; д) 5.

<<< К началу

 

 

???????@Mail.ru