Главная >> Алгебра. 8 класс. Макарычев

§ 8. Квадратное уравнение и его корни

Неполные квадратные уравнения (окончание)

Упражнения

512. Является ли квадратным уравнение:

513. Назовите в квадратном уравнении его коэффициенты:

    а) 5х2 - 9х + 4 = 0;
    б) х2 + 3х - 10 = 0;
    в) -х2 - 8х + 1 = 0;

    г) х2 + 5х = 0;
    д) 6х2 - 30 = 0;
    е) 9х2 = 0.

Какие из данных уравнений являются приведёнными квадратными уравнениями?

514. Приведите примеры неполных квадратных уравнений различных видов.

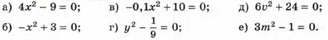
515. Найдите корни уравнения:

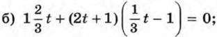
516. Решите уравнение и укажите приближённые значения корней с точностью до 0,1 (воспользуйтесь калькулятором):

а) 2х2 -17 = 0; б) 3t2 - 7,2 = 0; в) -р2 + 12,6 = 0.

517. Решите уравнение:

    а) 3х2 - 4х = 0;
    б) -5х2 + 6х = 0;
    в) 10х2 + 7х = 0;

    г) 4а2 - За = 0;
    д) 6z2 - z = 0;
    е) 2у + у2 = 0.

518. Решите уравнение:

    а) 2х2 + 3x = 0;
    б) 3x2 - 2 = 0;
    в) 5u2 - 4u = 0;

    г) 7а - 14а2 = 0
    д) 1 - 4у2 = 0;
    е) 2х2 - 6 = 0.

519. Какое из данных неполных квадратных уравнений не имеет корней?

    1. x2 - 19 = 0   2. x2 + 19 = 0   3. х2 - 19х = 0   4. x2 + 19x = 0

520. При каких значениях а уравнение (а - 2)х2 + 15x + а2 - 4 = 0 является неполным квадратным уравнением? Выберите верный ответ.

    1. a = -1   2. a = 1   3. a = -2   4. a = 2

521. Решите уравнение:

    а) 4х2 - 3х + 7 = 2x2 + x + 7;
    б) -5у2 + 8у + 8 = 8у + 3;

    в) 10 - 3x2 = x2 + 10 - x;
    г) 1 - 2у + 3у2 = у2 - 2у + 1.

522. Найдите корни уравнения:

    а) (x + 3)(x - 4) = -12;

    в) 3x(2x + 3) = 2х(де + 4,5) + 2;
    г) (x - 1)(x + 1) = 2(x2 - 3).

523. Решите уравнение:

    а) х2 - 5 = (x + 5)(2x - 1);
    б) 2х - (х + 1)2 = 3х2 - 6;

    в) 6а2 - (а + 2)2 = -4(а - 4);
    г) (5y + 2)(y - 3) = -13(2 + у).

524. Произведение двух последовательных целых чисел в 1,5 раза больше квадрата меньшего из них. Найдите эти числа.

525. Теннисный корт представляет собой прямоугольную площадку, длина которой вдвое больше ширины, а площадь равна 800 м2. Найдите длину и ширину корта.

526. Если от квадрата отрезать треугольник площадью 59 см2, то площадь оставшейся части будет равна 85 см2. Найдите сторону квадрата.

<<< К началу          Ответы >>>

 

 

???????@Mail.ru