Главная >> Алгебра. 8 класс. Макарычев

§ 8. Квадратное уравнение и его корни

Неполные квадратные уравнения: Ответы

527. Две группы туристов отправились одновременно из одного пункта — одна на север со скоростью 4 км/ч, а другая на запад со скоростью 5 км/ч. Через какое время расстояние между туристами окажется равным 16 км?

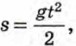
528. Путь свободно падающего тела вычисляется по формуле где t (с) — время, g ≈ 10 м/с2, s (м) — пройденный путь. Через сколько секунд от начала падения камень достигнет дна шахты глубиной 80 м?

529. Ширина земельного участка, имеющего форму прямоугольника, составляет 75% его длины, а его площадь равна 4800 м2. Найдите длину забора, ограждающего этот участок.

530. Телевизор имеет плоский экран прямоугольной формы. В паспорте к телевизору указано, что длина экрана относится к ширине как 4 : 3, а диагональ равна 25 дюймам. Найдите длину и ширину экрана в дюймах; в сантиметрах (1 дюйм = 2,54 см).

Упражнения для повторения

531. В каких координатных четвертях расположен график функции:

    а) у = (1 - √2)х; б) у = (√35 - 5,7)х?

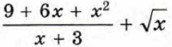
532. Найдите значение выражения при x = 0,36 и при х = 49.

Ответы

    512. г) Уравнение равносильно квадратному уравнению х2 + х - 1 = 0.

    518. а) 0; -1.5; е) -√3; √3.

    521. а) 0; 2; б) -1; 1; в) 0; г) 0.

    522. а) 0; 1; г) -√5; √5.

    523. а) 0; -9; в) -2; 2; г) корней нет.

    524. 2 и 3.

    525. 40 м и 20 м.

    526. 12 см.

    527. ≈ 2,5 ч.

    528. ≈ 4 с.

    529. 280 м.

    530. 20 и 15 дюймов; ≈ 50,8 см и ≈ 38,1 см. Указание. Обозначьте стороны прямоугольника через 4x и 3х.

    532. 3,96; 59.

<<< К началу

 

 

???????@Mail.ru