Главная >> Алгебра. 8 класс. Макарычев

§ 8. Квадратное уравнение и его корни

Формула корней квадратного уравнения

Рассмотрим теперь, как решают квадратные уравнения, в которых оба коэффициента при неизвестных и свободный член отличны от нуля.

Начнём с примера. Решим уравнение

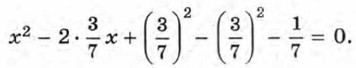
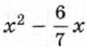
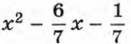
    2 - 6х - 1 = 0.

Разделив обе части этого уравнения на 7, получим равносильное ему приведённое квадратное уравнение

Выделим из трехчлена квадрат двучлена. Для этого разность представим в виде прибавим к ней выражение и вычтем его.

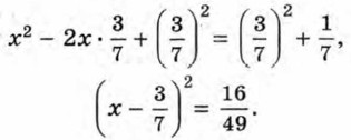
Получим

Отсюда

Следовательно,

Уравнение имеет два корня:

Способ, с помощью которого мы решили уравнение, называют выделением квадрата двучлена.

Решение квадратных уравнений выделением квадрата двучлена часто приводит к громоздким преобразованиям. Поэтому поступают иначе. Решают уравнение в общем виде и в результате получают формулу корней. Затем эту формулу применяют при решении любого квадратного уравнения.

Решим квадратное уравнение

    ах2 + bх + с = 0.                     (1)

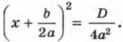
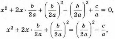
Разделив обе его части на а, получим равносильное ему приведённое квадратное уравнение

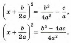
Преобразуем это уравнение, используя преобразования, аналогичные тем, которые применялись в рассмотренном примере:

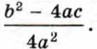
Уравнение (2) равносильно уравнению (1). Число его корней зависит от знака дроби Так как а ≠ 0, то 4а2 — положительное число, поэтому знак этой дроби определяется знаком её числителя, т. е. выражения b2 - 4ас. Это выражение называют дискриминантом квадратного уравнения ах2 + bх + с = 0 («дискриминант» по-латыни — различитель). Его обозначают буквой D, т. е.

    D = b2 - 4ас.

Запишем уравнение (2) в виде

Рассмотрим теперь различные возможные случаи в зависимости от значения D.

1) Если D > 0, то

Таким образом, в этом случае уравнение (1) имеет два корня:

Принята следующая краткая запись, которую называют формулой корней квадратного уравнения:

Продолжение >>>

 

 

???????@Mail.ru