Главная >> Алгебра. 8 класс. Макарычев

§ 8. Квадратное уравнение и его корни

Формула корней квадратного уравнения (продолжение)

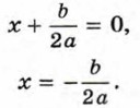
2) Если D = 0, то уравнение (2) примет вид:

Отсюда

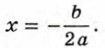
В этом случае уравнение (1) имеет один корень

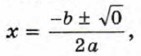
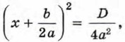
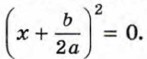
Формулой корней квадратного уравнения можно пользоваться и в этом случае. Действительно, при D = 0 формула (I) принимает вид

откуда

3) Если D < 0, то значение дроби отрицательно и поэтому уравнение

а следовательно, и уравнение (1) не имеют корней.

Таким образом, в зависимости от значения дискриминанта квадратное уравнение может иметь два корня (при D > 0), один корень (при D = 0) или не иметь корней (при D < 0).

    При решении квадратного уравнения по формуле (I) целесообразно поступать следующим образом:

      1) вычислить дискриминант и сравнить его с нулём;
      2) если дискриминант положителен или равен нулю, то воспользоваться формулой корней, если дискриминант отрицателен, то записать, что корней нет.

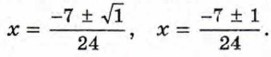
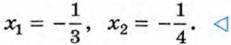
Пример 1. Решим уравнение 12х2 + 7х + 1 = 0.

Найдём дискриминант:

    D = 72 - 4 • 12 • 1 = 1, D > 0.

Применим формулу корней квадратного уравнения:

Ответ:

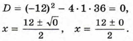
Пример 2. Решим уравнение х2 - 12х + 36 = 0.

Имеем

Ответ: 6.

Пример 3. Решим уравнение 7х2 - 25х + 23 = 0.

Имеем

    D = (-25)2 - 4 • 7 • 23 = 625 - 644, D < 0.

Ответ: корней нет.

Из формулы (I) можно получить другую формулу, которой удобно пользоваться при решении квадратных уравнений с чётным вторым коэффициентом.

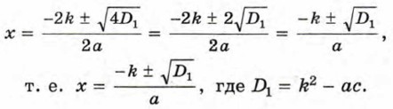
Рассмотрим квадратное уравнение ах2 + 2kx + с = 0.

Найдём его дискриминант: D = 4k2 - 4ас = 4(k2 - ас).

Очевидно, что число корней уравнения зависит от знака выражения k2 - ас. Обозначим это выражение через D1.

Если D1 ≥ 0, то по формуле корней квадратного уравнения получим

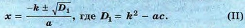
Значит, если квадратное уравнение имеет вид

    ах2 + 2kx + с = 0,

то при D1 ≥ 0 его корни могут быть найдены по формуле

Если D1 < 0, то уравнение корней не имеет.

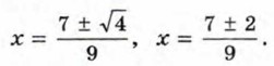
Пример 4. Решим уравнение 9х2 - 14х + 5 = 0.

Имеем D1 = (-7)2 - 9 • 5=4,

Ответ:

<<< К началу          Окончание >>>

 

 

???????@Mail.ru