Главная >> Алгебра. 8 класс. Макарычев

Дополнительные упражнения к главе III

Дополнительные упражнения к § 8: Ответы

684. Известно, что сумма квадратов корней уравнения х2 - 15х + q = 0 равна 153. Найдите q.

685. Квадрат разности корней уравнения х2 + рх + 405 = 0 равен 144. Найдите р.

686. Известно, что х1 и х2 — корни уравнения 3х2 + 2х + k = 0, причём 2x1 = -3х2. Найдите k.

687. Известно, что х1 и х2 — корни уравнения х2 - 8х + k = 0, причём 3х1 + 4х2 = 29. Найдите k.

688. Зная, что уравнение х2 + px + q= 0 имеет корни x1 и х2, составьте квадратное уравнение, имеющее корни:

    а) 3x1 и 3х2; б) х1 + 2 и х2 + 2.

Известно, что уравнение х2 + рх + q = 0 имеет корни x1 и х2. Составьте квадратное уравнение, корнями которого являются числа

Ответы

    650. а) 0; 1; б) 0; 6,8; в)-1,2; 1,2; г) 0.

    654. б)-8; 7; в)-7; 8; г) 1,6; 2;

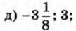
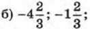
    655. а)-1,2; 0,2; е) -1; 1; ж) -2,5; 2,5; з) при любом х.

    660. 10, 11, 12, 13, 14 или -2, -1, 0, 1, 2.

    661. -2, 0, 2 или 6, 8, 10.

    662. 7 и 8.

    663. 4 см и 10 см.

    664. 1 см.

    665. 0,25 м.

    666. 60 или 40 пистолей.

    667. 0,36 м3 или 0,81 м3.

    668. 54 см и 36 см.

    669. 18 и 17.

    670. 13 и 11.

    671. a) 2√2; 3√2; б) -6√3; 4л/3; в) 3- √2; 3 + √2; г) 5 - 3√2; 5 + 3√2.

    678. b = ±12.

    679. 21 или -21.

    680. с = 3,12.

    681. b = -2, с = 0.

    682. b = 1, с = -2.

    684. 36.

    685. 42 или -42.

    688. а) х2 + 3рх + 9q = 0; б) х2 + (р - 4) х + (q - 2р + 4) = 0.

    689. qx2 — (р — 2q)х + q = 0.

<<< К началу

 

 

???????@Mail.ru