Главная >> Алгебра. 8 класс. Макарычев

Дополнительные упражнения к § 9

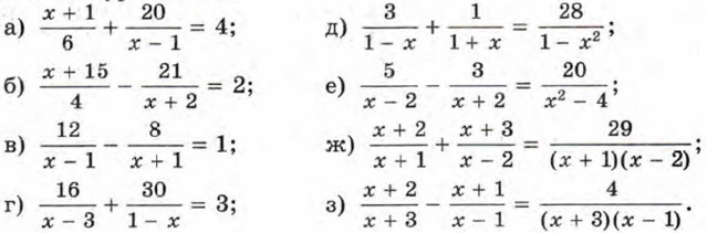
690. Решите уравнение:

691. Найдите координаты точек пересечения с осью х графика функции, заданной формулой:

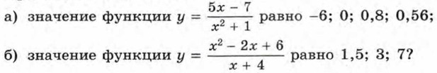
692. При каком значении х:

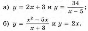
693. Найдите координаты точек пересечения графиков функций:

694. Решите графически уравнение:

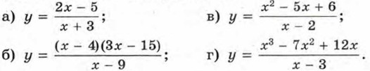
695 Найдите корни уравнения:

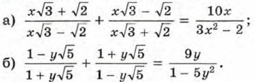
696. Решите уравнение:

697. Найдите значения переменной у, при которых:

698. На перегоне в 600 км после прохождения пути поезд был задержан на 1 ч 30 мин. Чтобы прийти на конечную станцию вовремя, машинист увеличил скорость поезда на 15 км/ч. Сколько времени поезд был в пути?

699. Туристы совершили три перехода в 12,5 км, 18 км и 14 км, причём скорость на первом переходе была на 1 км/ч меньше скорости на втором переходе и на столько же больше скорости на третьем. На третий переход они затратили на 30 мин больше, чем на второй. Сколько времени заняли все переходы?

700. Автомобиль прошёл с некоторой постоянной скоростью путь от А до В длиной 240 км. Возвращаясь обратно, он прошёл половину пути с той же скоростью, а затем увеличил её на 10 км/ч. В результате на обратный путь было затрачено на меньше, чем на путь от А до В. С какой скоростью шёл автомобиль из А в В?

701. Расстояние от А до В, равное 400 км, поезд прошёл с некоторой постоянной скоростью; обратного пути из В в А он шёл с той же скоростью, а потом уменьшил скорость на 20 км/ч. Найдите скорость поезда на последнем участке, если на всю дорогу было затрачено 11 ч.

Продолжение >>>

 

 

???????@Mail.ru