Главная >> Алгебра. 8 класс. Макарычев

§ 2. Сумма и разность дробей

Сложение и вычитание дробей с одинаковыми знаменателями (продолжение)

Упражнения

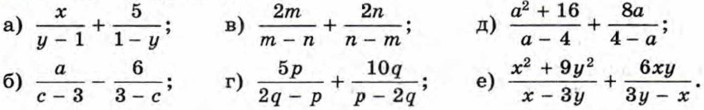
53. Выполните сложение или вычитание:

54. Представьте в виде дроби:

55. Преобразуйте выражение, представив его в виде дроби:

56. Упростите выражение:

57. Упростите выражение:

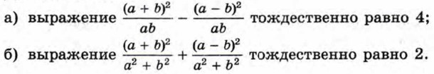
58. Докажите, что:

59. Найдите значение выражения:

60. Найдите значение выражения при а = -0,8, b = -1,75. Нет ли в задаче лишних данных?

61. Упростите выражение:

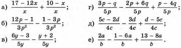
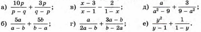
62. Выполните сложение или вычитание дробей:

63. Докажите, что при всех допустимых значениях х значение вы ражения не зависит от х:

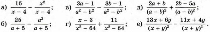
64. Упростите выражение:

65. Преобразуйте выражение:

66. Пользуясь тождеством представьте дробь в виде суммы дробей:

67. Представьте дробь в виде суммы или разности дробей:

68. Представьте дробь в виде суммы двучлена и дроби. Выясните, при каких натуральных n данная дробь принимает натуральные значения.

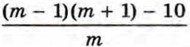
69. При каких целых значениях m дробь принимает целые значения?

<<< К началу       Ответы >>>

 

 

???????@Mail.ru