Главная >> Алгебра. 8 класс. Макарычев

§ 2. Сумма и разность дробей

Сложение и вычитание дробей с одинаковыми знаменателями: Ответы

Упражнения для повторения

70. Решите уравнение:

    а) 3(5x - 4) - 8x = 4х + 9;
    б) 19х - 8 (х — 3) = 66- 3х;
    в) 0,2(0,7х — 5) + 0,02 = 1,4(х - 1,6);
    г) 2,7(0,1х + 3,2) + 0,6(1,3 - х) = 16,02.

71. Разложите на множители:

    а) 8х4 - 16х3у;
    б) 15xy5 + 10y2;
    в) 8а2 - 50у2;
    г)18b2 - 98а2;

    д) х3 - 125;
    е)у3 + 8;
    ж) ab + 8а + 9b + 72;
    з) 6m - 12 - 2n + mn.

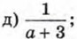
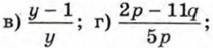
72. Укажите допустимые значения переменной в выражении:

Ответы

    56.

    59. а) 16,25; б) 6.

    60. Нет, т. к. необходимо убедиться, что а2 - 3аb ≠ 0.

    62. 6)5; в) 1; г)-1; е) у + 1.

    64.

    68. При n = 1, 2, 3, 6.

    70. а) 7; 6)3; в) 1; г)-20.

<<< К началу

 

 

???????@Mail.ru