Главная >> Алгебра. 8 класс. Макарычев

§ 2. Сумма и разность дробей

Сложение и вычитание дробей с разными знаменателями

Сложение и вычитание рациональных дробей с разными знаменателями сводится к сложению и вычитанию рациональных дробей с одинаковыми знаменателями. Для этого данные дроби приводят к общему знаменателю.

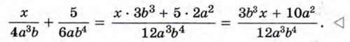
Пример 1. Сложим дроби

Знаменатели дробей представляют собой одночлены. Наиболее простым общим знаменателем является одночлен 12а3Ь4. Коэффициент этого одночлена равен наименьшему общему кратному коэффициентов знаменателей дробей, а каждая переменная взята с наибольшим показателем, с которым она входит в знаменатели дробей. Дополнительные множители к числителям и знаменателям этих дробей соответственно равны 3b3 и 2а2.

Имеем

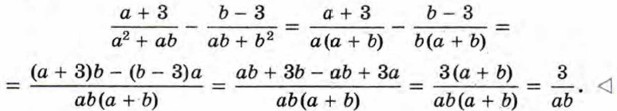
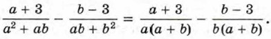
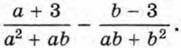
Пример 2. Преобразуем разность

Чтобы найти общий знаменатель, разложим знаменатель каждой дроби на множители:

Простейшим общим знаменателем служит выражение ab(a + b). Дополнительные множители к числителям и знаменателям этих дробей соответственно равны b и а.

Имеем

Преобразование рационального выражения, которое является суммой или разностью целого выражения и дроби, сводится к преобразованию суммы или разности дробей.

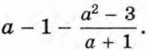
Пример 3. Упростим выражение Представим выражение а - 1 в виде дроби со знаменателем 1 и выполним вычитание дробей:

Упражнения

73. Представьте в виде дроби:

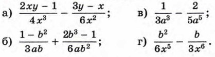
74. Выполните сложение или вычитание:

75. Преобразуйте в дробь выражение:

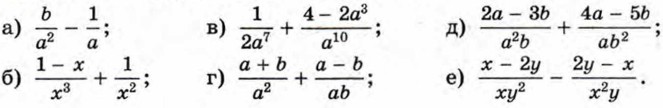
76. Выполните сложение или вычитание:

77. Представьте в виде дроби:

78. Преобразуйте в дробь выражение:

79. Выполните вычитание дробей:

Продолжение >>>

 

 

???????@Mail.ru