Главная >> Алгебра. 8 класс. Макарычев

§ 2. Сумма и разность дробей

Сложение и вычитание дробей с разными знаменателями (продолжение)

80. Преобразуйте в дробь выражение:

81. Преобразуйте в дробь выражение:

82. Представьте в виде дроби:

83. Упростите выражение:

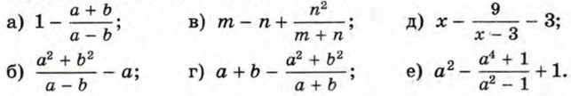
84. Представьте в виде дроби:

85. Преобразуйте в дробь выражение:

86. Выполните сложение или вычитание дробей:

87. Докажите, что при всех допустимых значениях у значение выражения не зависит от у:

88. Упростите выражение:

89. Упростите выражение:

90. Преобразуйте в дробь выражение:

91. Выполните вычитание дробей:

92. Выполните сложение или вычитание дробей:

93. Преобразуйте в дробь выражение:

94. Упростите выражение:

<<< К началу          Окончание >>>

 

 

???????@Mail.ru