Главная >> Алгебра. 8 класс. Макарычев

§ 10. Числовые неравенства и их свойства

Сложение и умножение числовых неравенств (продолжение)

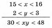
2. Оценим разность х - у.

Для этого представим разность х - у в виде суммы х + (-у). Сначала оценим выражение -у. Так как 2 < у < 3, то -2 > -у > -3, т. е. -3 < -у < -2. Применим теперь теорему о почленном сложении неравенств:

3. Оценим произведение ху.

Так как каждое из чисел х и у заключено между положительными числами, то они также являются положительными числами. Применив теорему о почленном умножении неравенств, получим

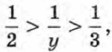
4. Оценим частное .

Для этого представим частное в виде произведения Сначала оценим выражение Так как 2 < у < 3, то т. е. По теореме о почленном умножении неравенств имеем

Упражнения

765. Сложите почленно неравенства:

    а) 12 > -5 и 9 > 7; б) -2,5 < -0,7 и -6,5 < -1,3.

766. Перемножьте почленно неравенства:

767. Верно ли для положительных чисел а и b, что:

    а) если а2 > b2, то а3 > b3; б) если а3 > b3, то а2 > b2?

768. Пусть 3 < a < 4 и 4 < b < 5. Оцените:

769. Зная, что 6 < x < 7 и 10 < у < 12, оцените:

770. Пользуясь тем, что 1,4 < √2 < 1,5 и 1,7 < √3 < 1,8, оцените:

    a) √2 + √3; б) √3 - √2.

771. Пользуясь тем, что 2,2 < √5 < 2,3 и 2,4 < √6 < 2 ,5, оцените:

    a) √6 + √5; б) √6 - √5.

772. Известны границы длин основания а и боковой стороны b равнобедренного треугольника, выраженные в миллиметрах:

    26 ≤ а ≤ 28 и 41 ≤ b ≤ 43.

Оцените периметр этого треугольника.

<<< К началу          Окончание >>>

 

 

???????@Mail.ru