Главная >> Алгебра. 8 класс. Макарычев

§ 10. Числовые неравенства и их свойства

Сложение и умножение числовых неравенств (окончание)

773. Измеряя длину а и ширину b прямоугольника (в см), нашли, что 5,4 < а < 5,5 и 3,6 < b < 3,7.

    Оцените: а) периметр прямоугольника; б) площадь прямоугольника.

774. Известны границы длины а и ширины b (в м) комнаты прямоугольной формы: 7,5 ≤ а ≤ 7,6 и 5,4 ≤ b ≤ 5,5. Подойдёт ли это помещение для библиотеки, для которой требуется комната площадью не менее 40 м2?

775. Пусть α и β — углы треугольника. Известно, что

    58° ≤ α ≤ 59°,
    102° ≤ β ≤ 103°.

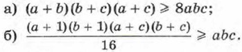
776. (Для работы в парах.) Используя соотношение между средним арифметическим и средним геометрическим положительных чисел, докажите, что при а ≥ 0, b ≥ 0, с ≥ 0 верно неравенство:

    1) Обсудите, какие свойства неравенств можно использовать при доказательстве неравенств. Запишите неравенство, выражающее соотношение между средним арифметическим и средним геометрическим положительных чисел а и b.
    2) Распределите, кто выполняет доказательство неравенства а), а кто — неравенства б). Проведите доказательство.
    3) Проверьте друг у друга, правильно ли выполнено доказательство неравенства,

777. Докажите, что сумма длин двух противоположных сторон выпуклого четырёхугольника меньше суммы длин его диагоналей.

778. (Задача-исследование.) Сравните сумму длин медиан треугольника с его периметром.

    1) Начертите произвольный треугольник АВС и проведите медиану ВО.
    2) На луче ВО отложите отрезок OD = ВО и соедините точку D с точками A и С. Какой вид имеет четырёхугольник ABCD?
    3) Рассмотрите треугольник ABD. Сравните 2mb с суммой ВС + АВ (mb — медиана ВО).
    4) Составьте аналогичные неравенства для 2mа и 2mс.
    5) Используя сложение неравенств, оцените сумму mа + mb + mс

Упражнения для повторения

779. Лист жести имеет форму квадрата. После того как от него отрезали полосу шириной 5 дм, площадь оставшейся части листа стала равной 6 дм2. Каковы размеры первоначального листа жести?

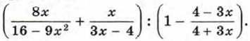
780. Упростите выражение

781. Докажите, что:

Ответы

    779. 6 х 6 дм.

    780.

<<< К началу

 

 

???????@Mail.ru