Главная >> Алгебра. 8 класс. Макарычев

§ 11. Неравенства с одной переменной и их системы

Решение систем неравенств с одной переменной (окончание)

886. Решите систему неравенств:

887. Решите систему неравенств и укажите все целые числа, которые являются её решениями:

888. Найдите целые решения системы неравенств:

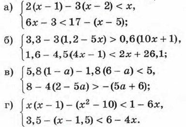
889. Решите систему неравенств:

890. Решите систему неравенств:

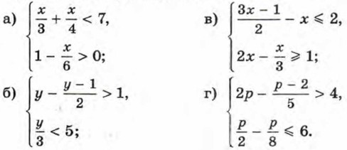
891. Решите систему неравенств:

892. Решите двойное неравенство:

    а) -3 < 2х - 1 < 3;
    б) -12 < 5 - х < 17;

    в) 2 < 6 - 2у < 5;
    г) -1 < 5у + 4 < 19.

893. Решите двойное неравенство и укажите три числа, являющие ся его решениями:

894. Решите двойное неравенство:

895. а) При каких у значения двучлена 3у - 5 принадлежат проме жутку (-1; 1)?
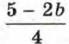
б) При каких b значения дроби принадлежат проме жутку [-2; 1]?

896. При каких значениях а уравнение

    х2 + 2ах + а2 - 4 = 0

имеет два корня, принадлежащие промежутку (-6; 6)?

897. При каких значениях b уравнение

    х2 - 6bх + 9b2 - 16 = 0

имеет два отрицательных корня?

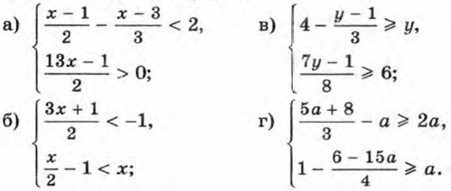
898. Решите систему неравенств:

899. Решите систему неравенств:

900. Решите систему неравенств:

<<< К началу          Ответы >>>

 

 

???????@Mail.ru