Главная >> Алгебра. 8 класс. Макарычев

§ 11. Неравенства с одной переменной и их системы

Решение систем неравенств с одной переменной (продолжение)

Пример 5. Решим двойное неравенство

    -1 < 3 + 2x < 3.

Двойное неравенство представляет собой иную запись системы неравенств

Решив её, найдём, что оба неравенства верны при

    -2 < х < 0.

В этом примере запись удобно вести так:

    -1 < 3 + 2x < 3,
    -4 < 2х < 0,
    -2 < х < 0.

Ответ: (-2; 0).

Упражнения

874. Является ли число 3 решением системы неравенств:

875. Какие из чисел -2, 0, 5, 6 являются решениями системы неравенств

876. Решите систему неравенств:

877. Решите систему неравенств:

878. Решите систему неравенств и укажите несколько чисел, являющихся её решениями:

879. Решите систему неравенств:

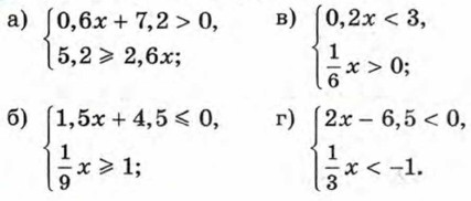
880. Решите систему неравенств:

881. Решите систему неравенств:

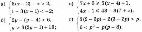
882. Решите систему неравенств:

883. Укажите допустимые значения переменной:

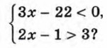
885. Решите систему неравенств:

<<< К началу          Окончание >>>

 

 

???????@Mail.ru