Главная >> Алгебра. 8 класс. Макарычев

§ 11. Неравенства с одной переменной и их системы

Решение систем неравенств с одной переменной

Задача. Турист вышел с турбазы по направлению к станции, расположенной на расстоянии 20 км. Если турист увеличит скорость на 1 км/ч, то за 4 ч он пройдёт расстояние, большее 20 км. Если он уменьшит скорость на 1 км/ч, то даже за 5 ч не успеет дойти до станции. Какова скорость туриста?

Пусть скорость туриста равна х км/ч. Если турист будет идти со скоростью (х + 1) км/ч, то за 4 ч он пройдёт 4(х + 1) км. По условию задачи 4 (х + 1) > 20. Если турист будет идти со скоростью (х - 1) км/ч, то за 5 ч он пройдёт 5(х - 1) км. По условию задачи 5(х- 1) < 20.

Требуется найти те значения х, при которых верно как неравенство 4(х + 1) > 20, так и неравенство 5(х - 1) < 20, т. е. найти общие решения этих неравенств. В таких случаях говорят, что надо решить систему неравенств, и используют запись

Заменив каждое неравенство системы равносильным ему неравенством, получим систему

Значит, значение х должно удовлетворять условию 4 < х < 5.

Ответ: скорость туриста больше 4 км/ч, но меньше 5 км/ч.

Определение. Решением системы неравенств с одной переменной называется значение переменной, при котором верно каждое из неравенств системы.

Решить систему — значит найти все её решения или доказать, что решений нет.

Пример 1. Решим систему неравенств

Имеем

Отсюда

Решениями системы являются значения х, удовлетворяющие каждому из неравенств х > 3,5 и х < 6. Изобразив на координатной прямой множество чисел, удовлетворяющих неравенству х > 3,5, и множество чисел, удовлетворяющих неравенству х < 6 (рис. 44), найдём, что оба неравенства верны при 3,5 < x < 6. Множеством решений системы является интервал (3,5; 6).

Ответ можно записать в виде интервала (3,5; 6) или в виде двойного неравенства 3,5 < х < 6, задающего этот интервал.

Пример 2. Решим систему неравенств

Имеем

Изобразим на координатной прямой множества решений каждого из полученных неравенств (рис. 45). Оба неравенства верны при х > 9. Ответ можно записать в виде неравенства х > 9 или в виде открытого числового луча (9; +∞), задаваемого этим неравенством.

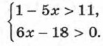
Пример 3. Решим систему неравенств

Имеем

Используя координатную прямую, найдём общие решения неравенств х < 2 и х < 5, т.е. пересечение множеств их решений (рис. 46). Мы видим, что пересечение этих множеств состоит из чисел, удовлетворяющих условию х < 2, т. е. представляет собой открытый числовой луч (-∞; 2).

Ответ: (-∞; 2).

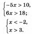
Пример 4. Решим систему неравенств

Имеем

Используя координатную прямую (рис. 47), найдём, что множество чисел, удовлетворяющих неравенству x < -2, и множество чисел, удовлетворяющих неравенству х > 3, не имеют общих элементов, т. е. их пересечение пусто. Данная система неравенств не имеет решений.

Ответ: решений нет.

Продолжение >>>

 

 

???????@Mail.ru