Главная >> Алгебра. 8 класс. Макарычев

§ 12. Степень с целым показателем и её свойства

Определение степени с целым отрицательным показателем

В этой главе вы познакомитесь со степенями с целыми отрицательными показателями, научитесь выполнять умножение и деление степеней с целыми показателями, возведение в степень произведения и частного. Вы убедитесь, как удобно использовать запись чисел в стандартном виде. Записав, например, в стандартном виде данные о массах Юпитера и Земли, нетрудно вычислить, что масса Юпитера почти в 317 раз больше массы Земли. Вы узнаете много нового из статистики: как организуются массовые исследования, в каких случаях сплошное исследование заменяют выборочным и каким условиям должна удовлетворять выборка. Впервые вы встретитесь с такими способами наглядного представления статистической информации, как полигоны и гистограммы. Новые сведения из статистики помогут вам лучше разбираться в информации, представленной в печати и на телевидении.


В справочной литературе можно найти сведения о том, что масса Солнца равна 1,989 • 1033 г, а масса атома водорода равна 1,674 • 10-24 г. Запись 1033 означает произведение тридцати трёх множителей, каждый из которых равен 10. А каков смысл записи 10-24?

Выпишем последовательно степени числа 10 с показателями 0, 1, 2 и т. д.

Получим строку

    100, 101, 102, 103, ... .                 (1)

В этой строке каждое число меньше следующего за ним в 10 раз. Продолжая строку (1) по тому же закону влево, перед числом 100 следует написать число перед числом — число перед числом — число пишут 103и т. д. Получим

В строке (2) справа от числа 100 показатель каждой степени на 1 меньше показателя следующей за ней степени. Распространяя этот закон на числа, стоящие слева от числа 100, их записывают в виде степени числа 10 с отрицательным показателем. Вместо пишут 10-1, вместо пишут 10-2, вместо пишут 10-3 и т. д. Получают

    ..., 10-3, 10-2, 10-1, 100, 101,102, 103, ... .

Итак, 10-1 означает , 10-2 означает , 10-3 означает и т. д. Такое соглашение принимается для степеней с любыми основаниями, отличными от нуля.

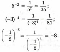
Определение. Если а ≠ 0 и n — целое отрицательное число, то

Пользуясь этим определением, найдём, что

Выражению 0n при целом отрицательном n (так же как и при n = 0) не приписывают никакого значения; это выражение не имеет смысла.

Напомним, что при натуральном n это выражение имеет смысл и его значение равно нулю.

Вернёмся к примеру, рассмотренному в начале пункта. Теперь мы знаем, что запись 1,674 • 10-24 г, выражающая массу атома водорода, означает

Продолжение >>>

 

 

???????@Mail.ru