Главная >> Алгебра. 8 класс. Макарычев

§ 12. Степень с целым показателем и её свойства

Определение степени с целым отрицательным показателем (продолжение)

Упражнения

964. Замените степень с целым отрицательным показателем дробью:

    а) 10-6; б) 9-2; в) а-1; г) х-20; д) (аЬ)-3; е) (а + b)-4.

965. Замените дробь степенью с отрицательным показателем:

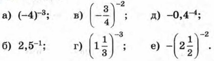
966. Представьте числа:

967. Представьте числа:

    в виде степени с основанием 3;
    б) 100, 10, 1, 0,1, 0,01, 0,001, 0,0001 в виде степени с основанием 10.

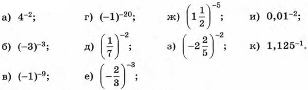
968. Вычислите:

969. Найдите значение выражения:

    а) -10-4;
    б) -0,2-3;
    в) (-0,8)-2;

    г) (—0,5)-5;
    д) -(-2)-3;
    е) -(-3)-2.

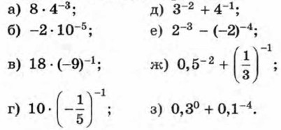
970. Вычислите:

971. Сравните с нулём значение степени:

    а) 9-5; б) 2,б-4; в) (-7,1)-6; г) (-3,9)-3.

972. Верно ли, что:

    а) если а > 0 и n — целое число, то аn > 0;
    б) если а < 0 и n — чётное отрицательное число, то аn > 0;
    в) если а < 0 и n — нечётное отрицательное число, то аn < 0?

973. Найдите значение выражения хр, если:

    а) х = -7, р = -2;
    б) х = 8, р = -1;

    в) х = 2, р = -6;
    г) х = -9, р = 0.

974. Какое значение принимает выражение -хр, если:

    а) х = -1, р = -2;
    б) х = 0,5, р = -2;

    в) х = 2, р = -1;
    г) x = 0,5, р = -5?

975. Найдите значения выражений хn и х-n, если:

976. Найдите значение выражения:

<<< К началу          Ответы >>>

 

 

???????@Mail.ru