Главная >> Алгебра. 8 класс. Макарычев

§ 12. Степень с целым показателем и её свойства

Определение степени с целым отрицательным показателем: Ответы

977. Вычислите:

978. Представьте выражение в виде дроби, не содержащей степени с отрицательным показателем:

    а) 3х-5;
    б) х-4у;
    в) 5ab-7;
    г) 5(ab)-7;

    д) х-1с-3;
    е) -9yz-8;
    ж) 2(х + у)-4;
    з) 10х-1(х - у)-3.

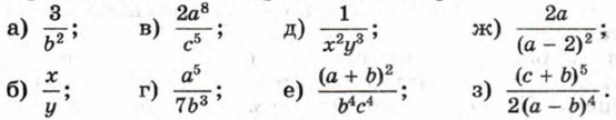
979. Представьте в виде произведения дробь:

980. Представьте в виде дроби выражение:

    а) а-2 + b-2;
    б) xy-1 + ху-2;

    в) (а + b-1)(а-1 - b);
    г) (х - 2у-1)(х-1 + 2у).

981. Преобразуйте в дробь выражение:

    а) (а-1 + b-1)(а + b)-1; б) (а - b)-2-2 - b).

982. Найдите множество значений х, на котором функция у = (х- 2)-1 принимает:

    а) положительные значения; б) отрицательные значения.

Упражнения для повторения

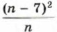
983. При каких натуральных n дробь принимает натуральные значения?

984. Найдите коэффициент обратной пропорциональности, зная, что её график проходит через точку:

    а) А (1,5; 8); б) B (0,04; -25).

Ответы

    970.

    977. д) 6; е) 125.

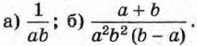
    980.

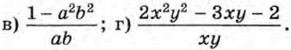
    981.

    982. а) (2; +∞); б) (-∞; 2).

    983. При n = 1 и n = 49.

<<< К началу

 

 

???????@Mail.ru