Главная >> Алгебра. 8 класс. Макарычев

§ 12. Степень с целым показателем и её свойства

Свойства степени с целым показателем

Известные вам свойства степени с натуральным показателем справедливы и для стеиеыи с любым целым показателем (пужно только предполагать, что основание степени не равно нулю).

Для каждого а ≠ 0 и любых целых m и n

для каждых а ≠ 0, b ≠ 0 и любого целого n

Эти свойства можно доказать, опираясь на определение степени с целым отрицательным показателем и свойства степени с натуральным показателем.

Докажем, например, справедливость свойства (1) (основного свойства степени) для случая, когда показатели степеней — целые отрицательные числа. Иначе говоря, докажем, что если k и р — натуральные числа и а ≠ 0, то а-k • а = а-k - р.

Имеем

Заменяя степени а-k и а дробями и дробь степенью а-(k + р), мы воспользовались определением степени с целым отрицательным показателем. Заменяя произведение аkар степенью аk + р, мы использовали основное свойство степени с натуральным показателем.

Из свойств степени вытекает, что действия над степенями с целыми показателями выполняются по тем же правилам, что и действия над степенями с натуральными показателями.

Пример 1. Преобразуем произведение а-17 • а21.

При умножении степеней с одинаковыми основаниями основание оставляют тем же, а показатели степеней складывают. Имеем

    a-17 • a21 = a-17 + 21 = a4.

Пример 2. Преобразуем частное b2 : b5.

При делении степеней с одинаковыми основаниями основание оставляют прежним, а из показателя степени делимого вычитают показатель степени делителя. Имеем

    b2 : b5 = b2 - 5 = b-3.

Для степеней с натуральными и нулевым показателями мы могли применять правило деления степеней с одинаковыми основаниями в том случае, когда показатель степени делимого был не меньше показателя степени делителя. Теперь, после введения степеней с целыми показателями, это ограничение снимается: показатели степеней делимого и делителя могут быть любыми целыми числами.

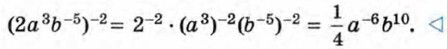
Пример 3. Упростим выражение (2а3b-5)-2.

Сначала применим свойство (4), а затем свойство (3). Имеем

Продолжение >>>

 

 

???????@Mail.ru