Главная >> Алгебра. 8 класс. Макарычев

§ 2. Сумма и разность дробей

Сложение и вычитание дробей с разными знаменателями: Ответы

Упражнения для повторения

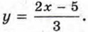
105. Функция задана формулой Найдите значение функции при х, равном —2; 0; 16. При каком х значение функции равно 3; 0; -9?

106. Постройте графики функций у = -4х + 1и у = 2х - 3 и найдите координаты точки их пересечения. Ту же задачу решите без построения графиков. Сравните полученные ответы.

107. В одну силосную яму заложили 90 т силоса, а в другую — 75 т. Когда из первой ямы взяли силоса в 3 раза больше, чем из второй, в первой яме силоса осталось в 2 раза меньше, чем во второй. Сколько тонн силоса взяли из первой ямы?

Контрольные вопросы и задания

1. Сформулируйте правило сложения дробей с одинаковыми знаменателями.

2. Сформулируйте правило вычитания дробей с одинаковыми знаменателями.

3. Как выполняют сложение и вычитание дробей с разными знаменателями? Поясните свой ответ на примерах:

Ответы

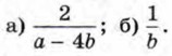
    74.

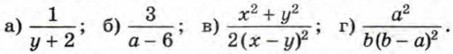
    75.

    76.

    77.

    78.

    79.

    80.

    81.

    82.

    83.

    84.

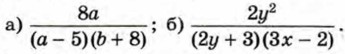
    86.

    88.

    89.

    90.

    91.

    92.

    93.

    94. в) 2; г) 0.

    95.

    96.

    97.

    98.

    103. a) 4 ч 10 мин; б) 5 ч 20 мин.

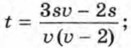
    104. t = 6 ч 40 мин.

<<< К началу

 

 

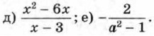
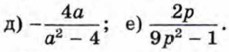
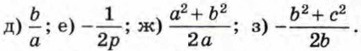
???????@Mail.ru