Главная >> Алгебра. 8 класс. Макарычев

§ 3. Произведение и частное дробей

Умножение дробей. Возведение дроби в степень

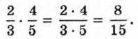
При умножении обыкновенных дробей перемножают отдельно их числители и их знаменатели и первое произведение записывают в числителе, а второе — в знаменателе дроби. Например:

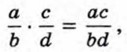
Таким же образом перемножают любые рациональные дроби:

где а, b, с и d — некоторые многочлены, причём b и d — ненулевые многочлены.

Чтобы умножить дробь на дробь, нужно перемножить их числители и перемножить их знаменатели и первое произведение записать числителем, а второе — знаменателем дроби.

Пример 1. Умножим дробь на дробь

Воспользуемся правилом умножения дробей:

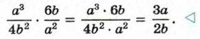
Пример 2. Умножим дробь на дробь

Имеем

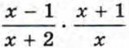
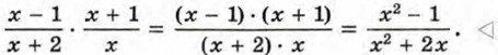
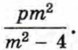
Пример 3. Представим произведение в виде рациональной дроби.

Имеем

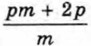
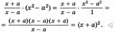
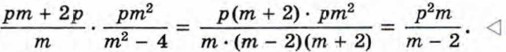
Пример 4. Умножим дробь на многочлен х2 - а2.

При умножении дроби на многочлен этот многочлен записывают в виде дроби со знаменателем 1 и затем применяют правило умножения дробей:

Правило умножения дробей распространяется на произведение трёх и более рациональных дробей. Например:

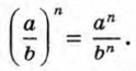
Выясним теперь, как выполняется возведение рациональной дроби в степень.

Рассмотрим выражение являющееся n-й степенью рациональной дроби и докажем, что

По определению степени имеем

Применяя правило умножения рациональных дробей и определение степени, получим

Следовательно,

Чтобы возвести дробь в степень, надо возвести в эту степень числитель и знаменатель и первый результат записать в числителе, а второй — в знаменателе дроби.

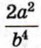
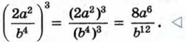
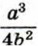
Пример 5. Возведём дробь в третью степень.

Воспользуемся правилом возведения в степень:

Продолжение >>>

 

 

???????@Mail.ru