Главная >> Алгебра. 8 класс. Макарычев

§ 3. Произведение и частное дробей

Умножение дробей. Возведение дроби в степень (продолжение)

Упражнения

108. Выполните умножение:

109. Представьте в виде дроби:

110. Выполните умножение:

111. Преобразуйте в дробь выражение:

112. Упростите выражение:

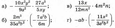
113. Выполните умножение:

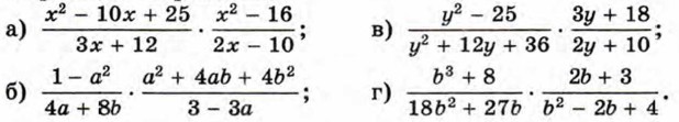
114. Упростите выражение:

115. Возведите в степень:

116. Возведите в степень:

117. Представьте в виде дроби:

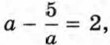
118. Зная, что найдите значение выражения

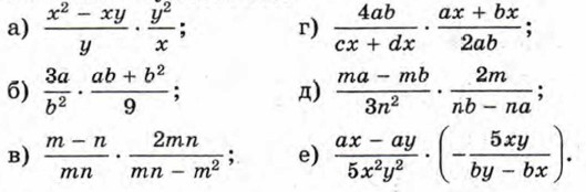
119. Выполните умножение:

120. Выполните умножение:

121. Представьте в виде дроби:

122. Упростите выражение:

123. Представьте в виде дроби:

124. Найдите значение выражения:

125. Выполните умножение:

126. Представьте в виде дроби:

126. Представьте в виде дроби:

128. Докажите, что если дробь является квадратом дроби, то и произведение аb можно представить в виде квадрата некоторого выражения.

<<< К началу          Ответы >>>

 

 

???????@Mail.ru