Главная >> Алгебра. 8 класс. Макарычев

§ 3. Произведение и частное дробей

Умножение дробей. Возведение дроби в степень: Ответы

Упражнения для повторения

129. Упростите выражение:

130. Первые 30 км велосипедист ехал со скоростью υ км/ч, а остальные 17 км — со скоростью, на 2 км/ч большей. Сколько времени t (ч) затратил велосипедист на весь путь? Найдите t, если: a) υ = 15; б) υ = 18.

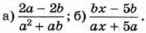
131. Выразите х через а и b:

    а) 3х + b = а; б) b - 7х = а - b;

Ответы

    111.

    112.

    113.

    114.

    115.

    116.

    117.

    118. 14.

    120.

    121.

    122.

    123.

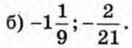
    124 а) 1;

    125.

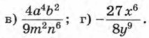
    129.

    130. а) 3 ч; б) 2 ч 31 мин.

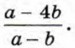
    131. в) х = аb - а; г) х = 10b - 10а.

<<< К началу

 

 

???????@Mail.ru