Главная >> Алгебра. 8 класс. Макарычев

§ 3. Произведение и частное дробей

Деление дробей (продолжение)

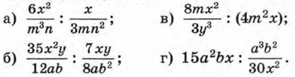
134. Выполните деление:

135. Представьте в виде дроби:

136. Упростите выражение:

137. Представьте выражение в виде дроби и сократите её:

    а) (x + 3у): (x2 - 9у2);
    б) (а2 - 6аb + 9b2): (а2 - 9b2);
    в) (x2 - 49y2): (49y2 + 14xy + x2);
    г) (m - 4n)2 : (32n2 - 2m2).

138. Выполните деление:

139. Выполните действие:

140. Найдите значение выражения:

141. Выполните деление:

143. Из формулы выразите:

    а) переменную с через а и b;
    б) переменную b через а и с.

<<< К началу          Ответы >>>

 

 

???????@Mail.ru