Главная >> Алгебра. 8 класс. Макарычев

§ 3. Произведение и частное дробей

Деление дробей: Ответы

Упражнения для повторения

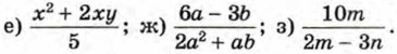
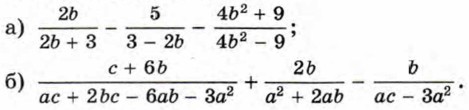
144. Выполните действия:

145. От пристани против течения реки отправилась моторная лодка, собственная скорость которой 10 км/ч. Через 45 мин после выхода лодки у неё испортился мотор, и её течением через 3 ч принесло обратно к пристани. Какова скорость течения реки?

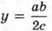
146. Из формулы выразите:

    а) переменную с через а, b и у;
    б) переменную а через b, с и у.

147. В каких координатных четвертях расположен график функции у = kx, если k > 0? если k < 0?

Ответы

    134.

    136.

    137.

    138.

    139.

    140. -1; б) 0,42

    142.

    143.

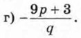
    144.

    145. 2 км/ч.

<<< К началу

 

 

???????@Mail.ru