Главная >> Алгебра. 8 класс. Макарычев

§ 3. Произведение и частное дробей

Преобразование рациональных выражений

Рациональное выражение представляет собой частное от деления суммы рациональных дробей на многочлен. Деление на х2 - 3у2 можно заменить умножением на дробь Поэтому преобразование данного выражения сводится к сложению дробей и умножению результата на дробь Вообще преобразование любого рационального выражения можно свести к сложению, вычитанию, умножению или делению рациональных дробей.

Из правил действий с дробями следует, что сумму, разность, произведение и частное рациональных дробей всегда можно представить в виде рациональной дроби. Значит, и всякое рациональное выражение можно представить в виде рациональной дроби.

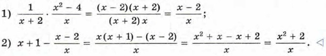
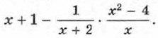
Пример 1. Преобразуем в рациональную дробь выражение

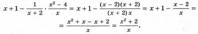
Сначала выполним умножение дробей, затем полученный результат вычтем из многочлена х + 1:

Запись можно вести иначе:

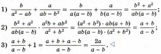
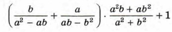
Пример 2. Представим выражение

в виде рациональной дроби.

Сначала сложим дроби, заключённые в скобки, затем найденный результат умножим на дробь и, наконец, к полученному произведению прибавим 1:

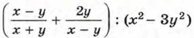
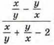
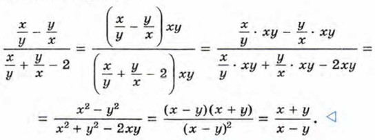
Пример 3. Представим выражение в виде рациональной дроби.

Преобразование можно вести по-разному. Можно представить в виде рациональных дробей отдельно числитель и знаменатель, а затем разделить первый результат на второй. А можно умножить числитель и знаменатель на ху, воспользовавшись основным свойством дроби:

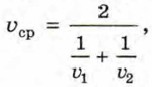
Пример 4. Пешеход отправился из посёлка А на станцию В со скоростью υ1 км/ч. Придя на станцию, он обнаружил, что оставил дома необходимые документы, и возвратился обратно в посёлок со скоростью υ2 км/ч. Взяв документы, он снова пошёл на станцию со скоростью υ3 км/ч. Выясните, какой была средняя скорость пешехода на всём пройденном им пути.

Пусть расстояние АВ равно s км. Тогда на путь от А до В пешеход затратил сначала на путь от В до А — а на повторное прохождение пути от А до В — За это время он прошёл 3s км. Теперь можно найти среднюю скорость υcp пешехода на всём пути:

Сократив данную дробь на s, найдём, что

Мы получили формулу для вычисления средней скорости, если известны скорости υ1, υ2, υ3 на каждом из трёх участков одинаковой длины. Из полученного равенства видно, что средняя скорость движения пешехода не равна среднему арифметическому скоростей υ1, υ2 и υ3. Она вычисляется по более сложной формуле, которую называют формулой среднего гармонического трёх чисел.

Средняя скорость движения на двух участках пути одинаковой длины вычисляется по формуле среднего гармонического двух чисел:

где υ1 и υ2 — скорости на этих участках.

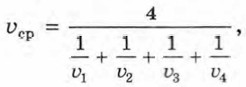
Средняя скорость движения на четырёх участках пути одинаковой длины вычисляется по формуле среднего гармонического четырёх чисел:

где υ1, υ2, υ3, υ4 — скорости на этих участках.

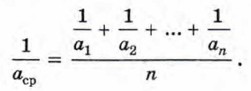
Вообще если мы имеем некоторый ряд положительных чисел a1, а2, ... , an, то среднее гармоническое этого ряда вычисляется по формуле

Эту формулу иногда записывают в другом виде:

Из этой записи видно, что величина, обратная среднему гармоническому нескольких положительных чисел, равна среднему арифметическому чисел, им обратных.

Продолжение >>>

 

 

???????@Mail.ru