Главная >> Алгебра. 8 класс. Макарычев

§ 3. Произведение и частное дробей

Преобразование рациональных выражений (продолжение)

Упражнения

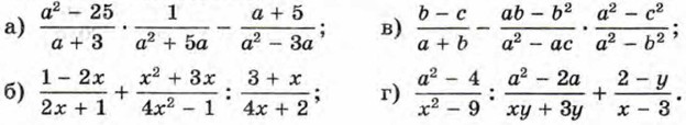
148. Выполните действия:

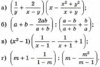
149. Выполните действия:

150. Упростите выражение:

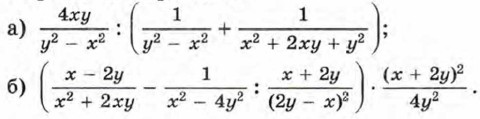
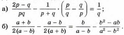
151. Выполните действия:

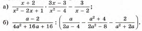
152. Выполните действия:

153. Упростите выражение:

154. Выполните действия:

155. Упростите выражение:

156. Представьте в виде дроби:

157. При каком значении а выражение

принимает наименьшее значение? Найдите это значение.

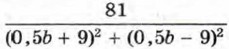
158. При каком значении b выражение принимает наибольшее значение? Найдите это значение.

159. Докажите тождество

160. Докажите тождество:

<<< К началу          Окончание >>>

 

 

???????@Mail.ru