Главная >> Алгебра. 8 класс. Макарычев

§ 3. Произведение и частное дробей

Функция и её график (окончание)

190. Задайте формулой обратную пропорциональность, зная, что её график проходит через точку:

191. На рисунке 7 построен график зависимости времени, затрачиваемого на путь из пункта А в пункт В, от скорости движения. С помощью графика ответьте на вопросы:

    а) Сколько времени потребуется на путь из А в В при скорости движения 80 км/ч? 25 км/ч? 40 км/ч?
    б) С какой скоростью надо двигаться, чтобы добраться из пункта А в пункт В за 1 ч? за 4 ч? за 8 ч? за 16 ч?
    в) Каково расстояние между пунктами А и В?

192. Определите знак числа k, зная, что график функции расположен:

    а) в первой и третьей координатных четвертях;
    б) во второй и четвёртой координатных четвертях.

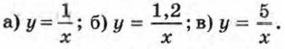
193. На рисунке 8 построен график одной из следующих функций:

Укажите эту функцию.

Упражнения для повторения

194. Докажите, что при всех допустимых значениях переменных значение дроби не зависит от значений этих переменных:

195. (Задача-исследование.) При каких значениях а и b является тождеством равенств

    а) Обсудите, какие преобразования надо выполнить и каким условием воспользоваться, чтобы ответить на вопрос задачи.
    б) Выполните необходимые преобразования, составьте систему уравнений и решите её.
    в) Ответьте на вопрос задачи и проверьте полученный ответ.

196. Упростите выражение

Контрольные вопросы и задания

1. Сформулируйте правила умножения и деления дробей.

2. Сформулируйте правило возведения дроби в степень.

3. Какая функция называется обратной пропорциональностью?

4. В каких координатных четвертях расположен график функции при k > 0? при k < 0?

Ответы

    178. Через 4 ч.

    190.

    196.

<<< К началу

 

 

???????@Mail.ru