Главная >> Алгебра. 8 класс. Макарычев

§ 3. Произведение и частное дробей

Представление дроби в виде суммы дробей

Сумму двух рациональных дробей, как известно, всегда можно представить в виде несократимой дроби, у которой числитель и знаменатель — многочлены с переменными или числа (в частности, число 1). Обратная задача — представление дроби в виде суммы двух дробей — неопределённая.

Так, например, дробь можно представить в виде суммы (или разности) двух слагаемых разными способами:

Вообще задача представления дроби в виде суммы дробей допускает сколь угодно много решений. Действительно, если требуется представить дробь в виде суммы двух дробей, то в качестве одного из слагаемых можно взять произвольную дробь Тогда вторая дробь будет равна разности т. е. равна дроби

Для представления дроби в виде суммы дробей можно воспользоваться методом неопределённых коэффициентов. Разъясним на примере, в чём состоит этот метод.

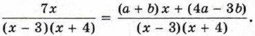
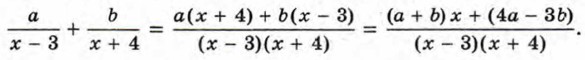
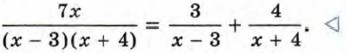
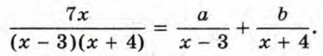
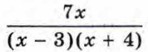
Пример 1. Представим дробь в виде суммы дробей со знаменателями х - 3 и х + 4.

Допустим, что

Сложим дроби в правой части равенства:

Получаем, что

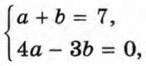
Это равенство будет тождеством, если а + b = 7 и 4а - 3b = 0.

Решив систему уравнений

найдём, что а = 3, b = 4.

Следовательно,

Приведём теперь примеры задач, при решении которых используется представление дроби в виде суммы целого выражения и дроби.

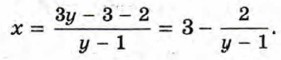
Пример 2. Найдём все пары целых чисел, удовлетворяющие уравнению х - ху + 3у = 5.

Выразим из уравнения переменную х через у:

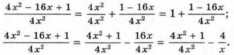
Выделив из дроби целую часть, получим

Значение дроби является целым числом тогда и только тогда, когда у - 1 = -2, у - 1 = -1, у - 1 = 1, у - 1 = 2. Отсюда у = -1; 0; 2; 3. Вычисляя соответствующее значение х, получаем искомые пары целых чисел: (4; -1), (5; 0), (1; 2), (2; 3).

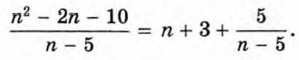
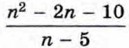
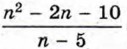
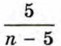
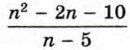
Пример 3. Найдём, при каких значениях n значение дроби является целым числом.

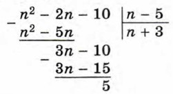
Представим дробь в виде суммы многочлена и дроби. Для этого многочлен n2 - 2n - 10 разделим на двучлен n - 5. Деление выполним уголком аналогично тому, как выполняется деление натуральных чисел.

В результате получаем, что частное равно n + 3, а остаток равен 5.

Значит,

    n2 - 2n - 10 = (n - 5) (n + 3) + 5.

Отсюда

Значение двучлена n + 3 при любом целом л является целым числом.

Значение дроби является целым числом тогда и только тогда, когда n - 5 равно 1, -1, 5 или -5.

Значит, дробь принимает целые значения при n, равном 0, 4, 6 и 10.

Окончание >>>

 

 

???????@Mail.ru