Главная >> Алгебра. 8 класс. Макарычев

§ 3. Произведение и частное дробей

Представление дроби в виде суммы дробей (окончание)

Упражнения

197. При каких значениях а и b равенство

является тождеством?

198. Представьте дробь в виде суммы двух дробей со знаменателями х + 4 и х - 2.

199. Представьте дробь в виде суммы двух дробей со знаменателями х - 1 и х + 1.

200. Выясните, при каких целых а дробь принимает целые значения, и найдите эти значения.

201. (Для работы в парах.) Зная, что m — целое число, найдите целые значения дроби:

    1) Обсудите, какие преобразования надо выполнить, чтобы найти целые значения дроби.
    2) Распределите, кто выполняет задание а), а кто — задание б), и выполните их.
    3) Проверьте друг у друга, правильно ли выполнены преобразования и верно ли найдены целые значения дроби. Исправьте замеченные ошибки.

202. Найдите все пары целых чисел, удовлетворяющие уравнению:

    а) 5х + у - ху = 2; б) ху - х + у = 8.

203. Найдите все точки графика функции с целочисленными координатами.

204. Докажите, что при любом целом а, отличном от нуля, значение дроби не является целым числом.

205. Найдите все пары натуральных чисел а и b, если известно, что сумма обратных им чисел равна

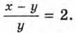
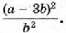
206. Найдите значение дроби если

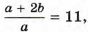
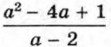
207. Зная, что

Ответы

    197. а = -6, 6 = 12.

    200. При а, равном -1, 1, 3, 5.

    201. а) -2; 2; б) -9; -8; 0; 1.

    205. а = 8 и b = 56; а = 14 и b = 14; а = 56 и b = 8.

    206. 30.

    207.

<<< К началу

 

 

???????@Mail.ru