Главная >> Алгебра. 8 класс. Макарычев

§ 1. Рациональне дроби и их свойства

Дополнительные упражнения к параграфу 1

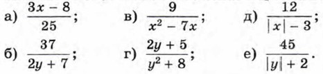
208. Найдите значение дроби:

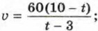
209. Расстояние между городами А и В равно 600 км. Первый поезд вышел из А в В и шёл со скоростью 60 км/ч. Второй поезд вышел из В в А на 3 ч позже, чем первый из А, и шёл со скоростью υ км/ч. Поезда встретились через t ч после выхода первого поезда. Выразите υ через t. Найдите скорость v при t = 7; при t = 6.

210. Найдите допустимые значения переменной в выражении:

211. Составьте какую-либо дробь с переменной х, которая имеет смысл при всех значениях переменной, кроме:

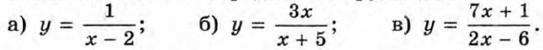
212. Укажите область определения функции:

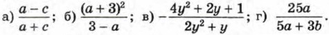
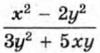
213. Сократите дробь:

214. Сократите дробь:

215. Сократите дробь:

216. Выполните сокращение:

217. Докажите, что если в дроби переменные х и у заменить соответственно на kx и ky, где k ≠ 0, то получится дробь, тождественно равная первоначальной.

218. Известно, что а - b = 9. Найдите значение дроби:

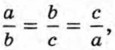
219. Докажите, что если то а = b = с.

Ответы

209. 45 км/ч; 80 км/ч.

210. д) Все числа, кроме -3 и 3; е) все числа.

214.

215.

216.

218.

 

 

???????@Mail.ru