Главная >> Алгебра. 8 класс. Макарычев

§ 2. Сумма и разность дробей

Дополнительные упражнения к параграфу 2

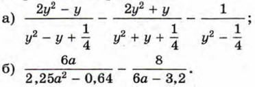
220. Упростите выражение:

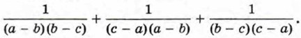
221. Докажите, что тождественно равно многочлену выражение:

222. Докажите, что если правильная обыкновенная дробь несократима, то дробь, дополняющая её до единицы, также несократима.

223. При каких натуральных n является натуральным числом значение выражения:

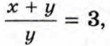
224. Найдите значение выражения, зная, что найдите значение выражения:

225. Зная, что

226. Выполните сложение или вычитание дробей:

227. Представьте в виде дроби:

228. Упростите выражение:

229. Упростите выражение:

230. Докажите, что при всех допустимых значениях переменных значение выражения равно нулю:

231. Упростите выражение:

Ответы >>>

 

 

???????@Mail.ru