Главная >> Алгебра. 8 класс. Макарычев

§ 2. Сумма и разность дробей

Дополнительные упражнения к параграфу 2: Ответы

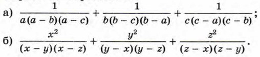
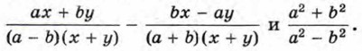
232. Докажите, что тождественно равны выражения

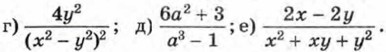
233. Упростите выражение:

234. Представьте дробь в виде суммы или разности целого выраже ния и дроби:

235. При каком значении а тождественно равны выражения:

236. Представьте дробь в виде суммы или разности целого выраже ния и дроби:

237. При каких целых п значение дроби является целым числом:

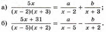
238. Найдите такие значения а и b, при которых выполняется тож дество:

Ответы

    223. а) При n = 1,2, 3, 6; б) при n = 3, 4, 6, 12; в) при n = 1, 2, 3.

    224. а) 6; б) 4; в) 0,2; г) 1,4.

    225. а) 2; в) 1; г) 0,5.

    229.

    231.

    233. 6) 1.

    235. а) При а = -6; б) при а = 5; в) при а = 6; г) при а = 7.

    237. а) При n = ±1, ±3; б) при n = ±1, ±3; ±9; в) при n = -8, -5, -4, -3, —1, 0, 1, 4.

    238. а) а = 2, 6 = 3; 6) a = 8, b = 3.

<<< К началу

 

 

???????@Mail.ru