Главная >> Алгебра 9 класс. Макарычев

Для тех, кто хочет знать больше

Дробно-линейная функция и ее график (продолжение)

Для построения графика данной функции поступим так: про ведем в координатной плоскости пунктиром асимптоты: прямую х = 1 и прямую у = 2. Так как гипербола состоит из двух ветвей, то для построения этих ветвей составим две таблицы: одну для х < 1, другую для х > 1.

Отметив в координатной плоскости точки, координаты которых указаны в первой таблице, и соединив их плавной непрерывной линией, получим одну ветвь гиперболы. Аналогично, используя вторую таблицу, получим вторую ветвь гиперболы.

График функции изображен на рисунке 45.

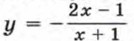
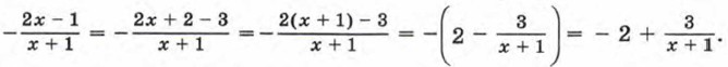
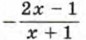
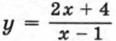
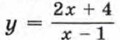
Пример 2. Построим график функции

Так же как и в примере 1, выделим из дроби целую часть, т. е. представим дробь в виде Имеем

В этом случае k = 3, m = -1, n = -2.

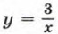
График функции можно получить из графика функции помощью двух параллельных переносов: сдвига гиперболы на 1 единицу влево и сдвига графика функции на 2 единицы вниз. При этом асимптотами гиперболы станут прямые у = -2 и х = -1.

Далее поступим так. Проведем в координатной плоскости пунктиром асимптоты y = -2 и x = -1. Составим две таблицы: одну для х < -1, другую для x > -1.

Отметив в координатной плоскости точки, координаты которых помещены в первой таблице, и соединив их плавной непрерывной линией, получим одну ветвь гиперболы. Используя вторую таблицу, получим вторую ветвь гиперболы. График функции изображен на рисунке 46.

В примерах 1 и 2 мы установили, что графиком каждой из функции и является гипербола, и показали один из способов построения графиков этих функций.

Можно доказать, что любую дробно-линейную функцию можно представить в виде

Таким образом, графиком дробно-линейной функции является гипербола, которую можно получить из гиперболы с помощью двух параллельных переносов.

<<< К началу          Окончание >>>

 

 

???????@Mail.ru