Главная >> Алгебра 9 класс. Макарычев

Для тех, кто хочет знать больше

Дробно-линейная функция и ее график

Вам известны свойства и график функции при k > 0. Отметим еще одно свойство этой функции и особенность ее графика.

При неограниченном возрастании положительных значений аргумента значения функции, оставаясь положительными, убывают и стремятся к нулю, т. е. если х > 0 и х →+∞, то у → 0. Аналогично если х < 0 и х → -∞, то у → 0. На графике это свойство проявляется в том, что точки графика по мере их удаления в бесконечность (т. е. при х → +∞ или х → -∞) неограниченно приближаются к оси х. Говорят, что ось х, т. е. прямая у = 0, является асимптотой графика функции при k > 0.

Вообще асимптотой кривой называется прямая, к которой приближаются как угодно близко точки кривой по мере их удаления в бесконечность.

Гипербола при k > 0 имеет еще одну асимптоту — ось у, т. е. прямую х = 0. Нетрудно понять, что гипербола при k < 0 также имеет две асимптоты — ось х и ось у.

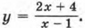
Теперь мы познакомимся с дробно-линейными функциями. Примерами таких функций могут служить функции, задаваемые формулами Правые части этих формул — дроби, у которых числитель — многочлен первой степени или число, отличное от нуля, а знаменатель — многочлен первой степени. Такие функции называют дробно-линейными функциями.

Вообще дробно-линейной функцией называется функция, которую можно задать формулой вида где х — переменная, а, b, с и d — произвольные числа, причем с ≠ 0 и ad - bс ≠ 0.

Ограничение, что с ≠ 0 и ad - bc ≠ 0, существенно. Если с = 0, то мы получим линейную функцию, а при ad - bс = 0 — сократимую дробь, значение которой равно т. е. получим константу.

Вы знаете, что график функции у = ƒ(x) + n можно получить из графика функции у = ƒ(x) с помощью параллельного переноса (сдвига) вдоль оси у на n единиц вверх, если n > 0, или на -n единиц вниз, если n < 0. График функции у = ƒ(x - m) можно получить из графика функции у = ƒ(x) с помощью сдвига вдоль оси х на m единиц вправо, если m > 0, или на -m единиц влево, если m < 0.

Покажем, что графиком дробно-линейной функции является гипербола, которую можно получить из гиперболы с помощью параллельных переносов вдоль координатных осей. Проиллюстрируем это на примерах построения графиков конкретных дробно-линейных функций.

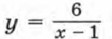
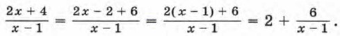
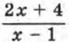
Пример 1. Построим график функции

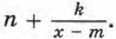
Для этого выделим из дроби целую часть, представив дробь в виде

Имеем

Здесь k = 6, m = 1, n = 2.

График функции можно получить из графика функции помощью двух параллельных переносов: сдвига гиперболы на 1 единицу вправо вдоль оси х и сдвига полученного графика на 2 единицы вверх в направлении оси у. При этом преобразовании сдвинутся и асимптоты гиперболы : ось х перейдет в прямую у = 2, а ось у — в прямую х = 1.

Продолжение >>>

 

 

???????@Mail.ru