Главная >> Алгебра 9 класс. Макарычев

Дополнительные упражнения к главе I

К параграфу 4

249. Объясните, почему верно неравенство:

250. Сравните значения степеней:

251. Даны функции ƒ(x) = х7 и g(x) = x10. Сравните с нулем:

    а) ƒ(25) - ƒ(12);
    б) ƒ(-30) - ƒ(-20);
    в) ƒ(0) • ƒ(60);

    г) g(17) - g(5);
    д) g(-9) • g(-17);
    е) g(38) - g(0).

252. Докажите, что при натуральном n:

    а) если х∈ [0; 1], то хn + 1 ≤ хn;
    б) если х∈ (1; +∞), то хn + 1 > хn.

253. Найдите n, если известно, что график функции у = хn проходит через точку:

    а) А(2; 8); б) В(3,5; 12,25); в) С(-3; 81); г) D(-2; -32).

254. Существует ли такое натуральное значение п, при котором график функции у = хn проходит через точку:

    а) А(2; 5); б) B(√3; 81); в) С(-5; 415); г) D(-7; -343)?

255. Постройте график функции:

    а) у = -x3;
    б) у = х3 - 1;
    в) у = (х - 2)3;
    г) у = (х - 2)3 +1;

    д) у = -х4;
    е) у = х4 - 1;
    ж) у = (х - 3)4;
    з) у = (х - 3)4 + 2.

256. Сколько корней имеет уравнение:

    а) х10 = 2;
    б) х10 = 0;
    в) х10 = -3;

    г) х7 = 5;
    д) x7 = 0;
    е) х7 = -1?

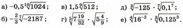
257. Найдите значение выражения:

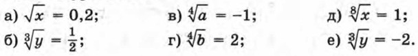
258. Решите уравнение:

259. При каких значениях переменной имеет смысл выражение:

260. Сравните значения корней:

261. Определите знак разности:

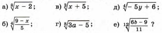
262. Найдите область определения функции:

263. Пользуясь графиками функций у = х, у = √x, решите уравнение и неравенства:

264. Постройте график функции:

Чем отличаются друг от друга графики функций у = - √x и

Ответы

    257. в) 3; г) 3,5; д) -0,5; е)

    259. г) При е) при b ≥ 1,5.

 

 

???????@Mail.ru