Главная >> Алгебра 9 класс. Макарычев

§ 5. Уравнения с одной переменной

Целое уравнение и его корни

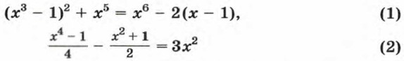
В каждом из уравнений

обе части являются целыми выражениями. Такие уравнения называют, как известно, целыми уравнениями. Напомним, что

целым уравнением с одной переменной называется уравнение, левая и правая части которого — целые выражения.

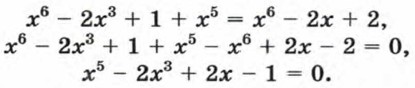
В уравнении (1) раскроем скобки, перенесем все члены в левую часть и приведем подобные члены. Получим

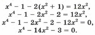
Выполним аналогичные преобразования в уравнении (2), умножив предварительно обе его части на 4:

В каждом из рассмотренных примеров мы выполняли такие преобразования, которые приводят к уравнению, равносильному данному. В результате получали уравнение, имеющее вид Р(х) = 0, где Р(х) — многочлен стандартного вида.

Вообще всякое целое уравнение можно заменить равносильным ему уравнением, левая часть которого — многочлен стандартного вида, а правая — нуль.

Если уравнение с одной переменной записано в виде Р(х) = 0, где Р (х) — многочлен стандартного вида, то степень этого многочлена называют степенью уравнения.

Степенью произвольного целого уравнения называют степень равносильного ему уравнения вида Р(х) = 0, где Р(х) — многочлен стандартного вида.

Например, уравнение (1) является уравнением пятой степени, а уравнение (2) — уравнением четвертой степени.

Уравнение первой степени можно привести к виду ах + b = 0, где х — переменная, а и b — некоторые числа, причем а ≠ 0. Из уравнения ах + b = 0 при а ≠ 0 получаем, что Число — корень уравнения. Каждое уравнение первой степени имеет один корень.

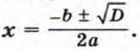
Уравнение второй степени можно привести к виду ах2 + bх + с = 0, где х — переменная, а, b и с — некоторые числа, причем а ≠ 0. Число корней такого уравнения зависит от дискриминанта D = b2 - 4ас. Если D > 0, то уравнение имеет два корня; если D = 0, то уравнение имеет один корень; если D < 0, то уравнение не имеет корней. Любое уравнение второй степени имеет не более двух корней. Для нахождения корней при D ≥ 0 используется, как известно, формула корней квадратного уравнения

Уравнение третьей степени можно привести к виду ах3 + bх2 + сх + d = 0, уравнение четвертой степени — к виду ах4 + bх3 + сх2 + dx + е = 0 и т. д., где а, b, с, ... — некоторые числа, причем а ≠ 0. Можно доказать, что уравнение третьей степени имеет не более трех корней, уравнение четвертой степени — не более четырех корней. Вообще уравнение n-й степени имеет не более n корней.

Для уравнений третьей и четвертой степеней известны формулы корней, но эти формулы очень сложны и неудобны для практического применения. Для уравнений пятой и более высоких степеней общих формул корней не существует.

Заметим, что иногда удается решить уравнение третьей и более высокой степени, применяя какой-либо специальный прием. Например, некоторые уравнения нетрудно решить с помощью разложения многочлена на множители.

Продолжение >>>

 

 

???????@Mail.ru