Главная >> Алгебра 9 класс. Макарычев

§ 6. Неравенства с одной переменной

Решение неравенств методом интервалов (продолжение)

Пример 2. Решим неравенство x(0,5 — х)(х + 4) < 0.

Приведем данное неравенство к виду (1). Для этого в двучлене 0,5 - х вынесем за скобку множитель -1. Получим

    -х(х - 0,5 )(л; + 4) < 0,

отсюда

    х(х - 0,5)(x + 4) > 0.

Мы получили неравенство вида (1), равносильное данному.

Отметим на координатной прямой нули функции

    ƒ(x) = х(х - 0,5)(x + 4)

(рис. 57, а). Покажем знаком «плюс», что в крайнем справа промежутке функция принимает положительное значение, а затем, двигаясь справа налево, укажем знак функции в каждом из промежутков (рис. 57, б). Получим, что множеством решений неравенства является объединение промежутков (-4; 0) и (0,5; +∞).

Ответ: (-4; 0) ∪ (0,5; +∞).

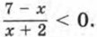
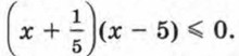
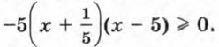
Пример 3. Решим неравенство (5х + 1)(5 - х) ≥ 0.

Приведем неравенство к виду (1). Для этого в первом двучлене вынесем за скобки множитель 5, а во втором -1, получим

Разделив обе части неравенства на -5, будем иметь

Отметим на координатной прямой нули функции

т. е. точки и 5, и укажем знаки функции в образовавшихся промежутках (рис. 58). Мы видим, что множество решений неравенства состоит из чисел и 5 и чисел, заключенных между ними, т. е. представляет собой промежуток

Заметим, что данное неравенство можно решить иначе, используя свойства графика квадратичной функции.

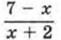
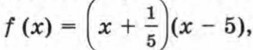
Пример 4. Решим неравенство

Так как при всех значениях х, при которых дробь имеет смысл, ее знак совпадает со знаком произведения (7 - х)(х + 2), то данное неравенство равносильно неравенству

    (7 - х)(х + 2) < 0.

Приведя неравенство

    (7 - х)(х + 2) < 0

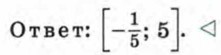
к виду (1) и используя метод интервалов, найдем, что множеством решений этого неравенства, а значит, и исходного неравенства является объединение промежутков (-∞; -2) и (7; +∞).

Ответ: (-∞; -2) ∪ (7; +∞).

<<< К началу          Окончание >>>

 

 

???????@Mail.ru