Главная >> Алгебра 9 класс. Макарычев

§ 6. Неравенства с одной переменной

Решение неравенств методом интервалов (окончание)

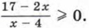
Пример 5. Решим неравенство

Знак дроби совпадает со знаком произведения (17 - 2х)(х - 4) при всех значениях х, при которых дробь имеет смысл. Поэтому данное неравенство равносильно системе

Неравенство (17 - 2х)(х - 4) ≥ 0 приведем к виду

    (х - 8,5)(х - 4) ≤ 0.

Решив это неравенство методом интервалов и исключив из множества его решений число 4, найдем, что множеством решений исходного неравенства является промежуток (4; 8,5].

Ответ: (4; 8,5].

Упражнения

325. Решите неравенство, используя метод интервалов:

326. Решите неравенство:

327. Решите неравенство:

    а) (х - 2)(х - 5)(х - 12) > 0;
    б) (х + 7)(х + 1)(x - 4) < 0;
    в) х(х + 1)(x + 5)(x - 8) > 0.

328. Найдите, при каких значениях х:

    а) произведение (х + 48)(х - 37)(х - 42) положительно;
    б) произведение (х + 0,7)(х - 2,8)(х - 9,2) отрицательно.

329. Решите неравенство:

    а) (х + 9)(х - 2)(х - 15) < 0;
    б) х(х - 5)(х + 6) > 0;
    в) (х - 1)(х — 4)(х - 8)(х - 16) < 0.

330. Найдите множество решений неравенства:

331. Решите неравенство:

    а) 2(х - 18)(х - 19) > 0;
    б) -4(х + 0,9)(х - 3,2) < 0;
    в) (7х + 21)(х - 8,5) ≤ 0;
    г) (8 - х)(х - 0,3) ≥ 0.

332. Найдите область определения функции:

333. При каких значениях х имеет смысл выражение:

334. Решите неравенство:

335. Решите неравенство:

336. Найдите множество решений неравенства:

337. Решите неравенство:

338. Решите неравенство:

<<< К началу          Ответы >>>

 

 

???????@Mail.ru