Главная >> Алгебра 9 класс. Макарычев

§ 7. Уравнения с двумя переменными и их системы

Графический способ решения систем уравнений (окончание)

418. Решите графически систему уравнений

419. С помощью графиков решите систему уравнений:

420. Решите графически систему уравнений:

421. Изобразив схематически графики уравнений, выясните, имеет ли решения система уравнений и если имеет, то сколько:

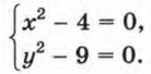
422. Решите графически систему уравнений:

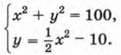
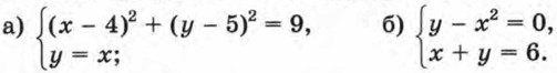
423. Решите графически систему уравнений

Упражнения для повторения

424. Составьте уравнение, графиком которого является:

    а) пара прямых у = х+ 1 и у = х- 1;
    б) парабола у = х2 и прямая у = -2.

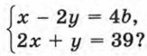
425. При каком значении 6 пара чисел (18; 3) является решением системы уравнений

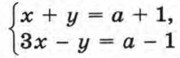
426. При каких значениях а решением системы уравнений

является пара положительных чисел?

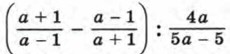
427. Докажите, что при а > -1 выражение принимает положительные значения при всех допустимых значениях а.

428. Из деревни в город, находящийся на расстоянии 72 км, отправился велосипедист. Спустя 15 мин навстречу ему из города выехал другой велосипедист, проезжающий в час на 2 км больше первого. Найдите, с какой скоростью ехал каждый из них, если известно, что они встретились в середине пути.

Ответы

    425. При 5 = 3.

    426. При а> 0.

    428. 16 и 18 км/ч.

<<< К началу

 

 

???????@Mail.ru