Главная >> Алгебра 9 класс. Макарычев

§ 7. Уравнения с двумя переменными и их системы

Решение систем уравнений второй степени

Рассмотрим сначала системы уравнений с двумя переменными, составленные из одного уравнения второй степени и одного уравнения первой степени. Такую систему всегда можно решить способом подстановки. Для этого поступают следующим образом:

1) выражают из уравнения первой степени одну переменную через другую;

2) подставляют полученное выражение в уравнение второй степени, в результате чего приходят к уравнению с одной переменной;

3) решают получившееся уравнение с одной переменной;

4) находят соответствующие значения второй переменной.

Пример 1. Решим систему уравнений

Выразим из второго уравнения переменную х через у:

    х = 1 - 2у.

Подставим в первое уравнение вместо х выражение 1 - 2у, получим уравнение с переменной у:

    (1 - 2у)2 - 3(1 - 2у)у - 2у2 = 2.

После упрощения получим равносильное уравнение

    2 - 7у - 1 = 0.

Решив его, найдем, что

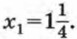
Соответствующие значения х можно найти, подставив найденные значения у в одно из уравнений системы, например во второе уравнение. Удобнее, однако, воспользоваться формулой х = 1 - 2у.

Подставив в формулу х = 1 - 2у значение получим

Подставив в формулу х = 1 - 2у значение у2 = 1, получим

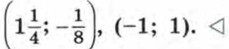
Итак, система имеет два решения:

Ответ можно записать также в виде пар:

Если система состоит из двух уравнений второй степени с двумя переменными, то найти ее решения обычно бывает трудно. В отдельных случаях такие системы удается решить, используя способ подстановки или способ сложения.

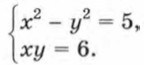
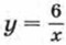
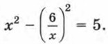
Пример 2. Решим систему уравнений

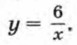
Воспользовавшись тем, что х ≠ 0, выразим из второго уравнения переменную у через х:

Подставим в первое уравнение вместо у выражение Получим уравнение

Решив его, найдем, что

    х1 = -3, х2 = 3.

По формуле находим соответствующие значения у:

    у1 = 2, у2 = 2.

Значит, система имеет два решения:

    х1 = -3, у1 = -2 и х2 = 3, у2 = 2.

Ответ: (-3; -2), (3; 2).

Продолжение >>>

 

 

???????@Mail.ru