Главная >> Алгебра 9 класс. Макарычев

§ 7. Уравнения с двумя переменными и их системы

Решение систем уравнений второй степени (продолжение)

Упражнения

429. Решите способом подстановки систему уравнений:

430. Решите систему уравнений, используя способ подстановки:

431. Решите систему уравнений:

432. Решите систему уравнений:

433. Решите систему уравнений:

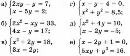
434. Решите систему уравнений:

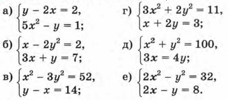
435. Решите систему уравнений:

436. Решите систему уравнений:

437. Решите систему уравнений:

438. Решите систему уравнений:

<<< К началу          Окончание >>>

 

 

???????@Mail.ru