Главная >> Алгебра 9 класс. Макарычев

§ 7. Уравнения с двумя переменными и их системы

Решение систем уравнений второй степени (окончание)

439. Решите систему уравнений

сначала графическим способом, а затем аналитическим.

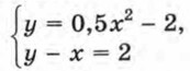
440. Решите систему уравнений графически и аналитически:

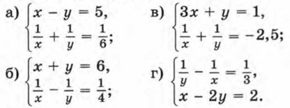
441. Решите систему уравнений:

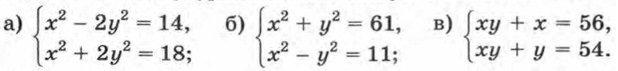
442. Решите систему уравнений:

443. Решите систему уравнений:

444. Не выполняя построения:

    а) определите, пересекает ли парабола у = х2 - 8х + 16 прямую 2х - 3у = 0 и если да, то в каких точках;
    б) найдите, в каких точках пересекаются окружность (х - 5)2 + (у - 4)2 = 65 и прямая 3х - у + 6 = 0.

445. Докажите, что прямая х - у = 4 имеет одну общую точку с параболой у = х2 - 5х + 5, и найдите координаты этой точки.

446. Докажите, что парабола у = 2х2 - 5х + 1 и прямая 2х + у + 3 = О не пересекаются.

447. Решите способом подстановки систему уравнений:

448. Решите систему уравнений, используя способ сложения:

449. Не выполняя построения, найдите координаты точек пересечения:

    а) окружности х2 + у2 = 36 и параболы у = х2 + 6;
    б) окружностей х2 + у2 = 16 и (х - 2)2 + у2 = 36.

450. При каких значениях k парабола у = х2 + 1 и прямая y = kx имеют только одну общую точку?

451. Окружность (х - 4)2 + (у - 6)2 = 25 и прямая у = кх имеют общую точку М(1; 2). Найдите координаты другой общей точки, если такая точка существует.

Упражнения для повторения

452. Построив схематически графики уравнений, выясните, сколько решений имеет система уравнений:

453. Решите неравенство:

    а) 0,2х(х - 1) - х(0,2х + 0,5) < 0,6х - 4;
    б) 1,2х(3 - х) + 0,4х(3х - 1) < х + 1,1.

454. При каких значениях х:

    а) трехчлен -х2 - 2х + 168 принимает положительные значения;
    б) трехчлен 15х2 + х- 2 принимает отрицательные значения;
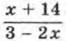
    в) дробь принимает отрицательные значения;
    г) дробь принимает положительные значения?

<<< К началу          Ответы >>>

 

 

???????@Mail.ru