Главная >> Алгебра 9 класс. Макарычев

Дополнительные упражнения к главе III

Дополнительные упражнения к параграфу 7 (продолжение)

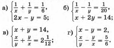
531. Решите систему уравнений:

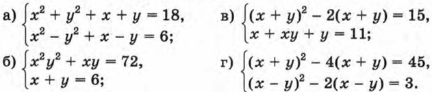
532. Решите систему уравнений:

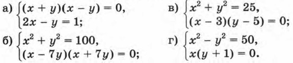
533. Решите систему уравнений:

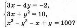
534. Имеет ли решения система уравнений

535. Имеют ли общую точку графики уравнений

    x + y = 7, 2x - у = 2, x2 + xу - у2 - у = 1?

536. Решите систему уравнений:

537. Если умножить квадратный трехчлен аx2 - 2x + b на квадратный трехчлен x2 + ax - 1, то получится многочлен четвертой степени, в котором коэффициенты при x2 и ле соответственно равны 8 и -2. Найдите а и b.

538. Сумма двух положительных чисел в 5 раз больше их разности. Найдите эти числа, если известно, что разность их квадратов равна 180.

539. Произведение двух чисел в 15 раз больше их суммы. Если к первому числу прибавить удвоенное второе число, то получится 100. Найдите эти числа.

540. Разность квадратов двух чисел равна 100. Если из утроенного первого числа вычесть удвоенное второе число, то получится 30. Найдите эти числа.

541. Найдите двузначное число, которое в 4 раза больше суммы его цифр и в 2 раза больше произведения его цифр.

542. Если числитель обыкновенной дроби возвести в квадрат, а знаменатель уменьшить на 1, то получится дробь, равная 2. Если же числитель дроби уменьшить на 1, а знаменатель увеличить на 1, то получится дробь, равная Найдите эту дробь.

543. Если числитель обыкновенной дроби увеличить на 7, а знаменатель возвести в квадрат, то получится дробь, равная Если же числитель оставить без изменения, а знаменатель увеличить на 6, то получится дробь, равная Найдите эту дробь.

544. Диагональ прямоугольника равна 15 см. Если одну из его сторон уменьшить на 6 см, а другую уменьшить на 8 см, то периметр уменьшится в 3 раза. Найдите стороны прямоугольника.

545. Бассейн наполняется через первую трубу на 5 ч быстрее, чем через вторую. Бассейн можно наполнить, если открыть сначала одну первую трубу на 5 ч, а затем одну вторую на 7,5 ч. За сколько часов наполнится бассейн при совместной работе обеих труб?

546. Чтобы наполнить бассейн, сначала открыли одну трубу и через 2 ч, не закрывая ее, открыли другую. Через 4 ч совместной работы труб бассейн был наполнен. Одна вторая труба могла бы наполнить бассейн в 1,5 раза быстрее, чем одна первая. За сколько часов можно наполнить бассейн через каждую трубу?

547. Из двух городов, расстояние между которыми равно 270 км, одновременно навстречу друг другу выходят два поезда и встречаются через 3 ч. На весь путь один из поездов тратит на 1 ч 21 мин больше, чем другой. Найдите скорость каждого поезда.

548. Из пунктов М и N выехали одновременно навстречу друг другу два автомобиля. Один из них пришел в N через 1 ч 15 мин после встречи, а другой — в М через 48 мин после встречи. Расстояние между пунктами М и N равно 90 км. Найдите скорости автомобилей.

549. Двое туристов идут навстречу друг другу из пунктов А и В. Первый вышел из А на 6 ч позже, чем второй из В, и при встрече оказалось, что он прошел на 12 км меньше второго. Продолжая движение с той же скоростью, первый пришел в В через 8 ч, а второй — в А через 9 ч после встречи. Найдите скорость каждого туриста.

<<< К началу          Ответы >>>

 

 

???????@Mail.ru