Главная >> Алгебра 9 класс. Макарычев

Дополнительные упражнения к главе III

Дополнительные упражнения к параграфу 7 (ответы)

Ответы

    518. а) х2 - у2 = 25; б) у4 + х2у2 - 9х2 - 13у2 + 36 = 0; в) х3у + ху3 - ху - 6х2 - 6у2 + 6 = 0.

    521. а) При а = -2 и при а = 6; б) при а = 7; в) при а = -2; г) при а = 1 - 2√3 и при а = 1 + 2√3.

    522. а) (-3; -2), (-3; 2), (3; -2), (3; 2); б) (-3; -1), (-3; 1), (3; -1), (3; 1).

    526. а) При m = -√10 и при m = √10; б) при -√10 < m < √10.

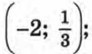
    527. а) (5; -2), б) (0; -1), (3; 5); в) (6; -1), (3; 5); г) (6; 2), (11; 7); д) (4; 1); е) (-1,25; 0,75), (-5; -3).

    528. а) (4; 0), (0; -4); б) (2; 3), (-2; -1); в) (0; -5), (5,5; 6); г) (5; -4), (-0,5; 1,5).

    529. а) (-6; 2), (6; -2), (-2; 6), (2; -6); б) (-10; -8), (-10; 8), (10; -8), (10; 8).

    530. а) (0; -5), (1; -4);

    531. а) (-3; -4); б) решений нет.

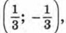
    532. а) (1; 1); б) (7√2; √2), (-7√2; √2), (7√2; -√2), (-7√2; -√2); в) (3; 4), (3; -4), (0; 5); г) (√51;-1), (-√51;-1).

    533. а) (1,5; -2), (10; 15); б) (70; -28), (4; 5); в) (6; 8), (8; 6); г) (0,8; -1,2), (6; 4).

    536. а) (-4; -3), (-4; 2), (3; -3), (3; 2); б) (3 - 3√2; 3 + 3√2), (3 + 3√2; 3 - 3√2), (2; 4), (4; 2); в) (2; 3), (3; 2); г) (-3; -2), (-1; -4), (4; 5), (6; 3).

    537. а = -2, b = 2 или b = 6.

    538. 18 и 12.

    539. 60 и 20 или 25 и 37,5.

    540. 10 и 0 или 26 и 24.

    541. 36.

    542.

    543.

    544. 9 и 12 см.

    545. 6 ч.

    546. 12 и 8 ч.

    547. 40 и 50 км/ч.

    548. 40 и 50 км/ч.

    549. 6 и 4 км/ч.

<<< К началу

 

 

???????@Mail.ru