Главная >> Алгебра 9 класс. Макарычев

§ 10. Геометрическая прогрессия

Определение геометрической прогрессии. Формула n-го члена геометрической прогрессии (ответы)

640. После каждого движения поршня разрежающего насоса из сосуда удаляется 20% находящегося в нем воздуха. Определите давление воздуха внутри сосуда после шести движений поршня, если первоначально давление было равно 760 мм рт. ст.

641. Дан равносторонний треугольник со стороной 8 см. Из его высот построен второй треугольник. Из высот второго треугольника построен третий и т. д. Докажите, что периметры треугольников образуют геометрическую прогрессию, и найдите периметр шестого треугольника.

642. В равносторонний треугольник, сторона которого равна 16 см, вписан другой треугольник, вершинами которого являются середины сторон первого. Во второй треугольник таким же способом вписан третий и т. д. Докажите, что периметры треугольников образуют геометрическую прогрессию. Найдите периметр восьмого треугольника.

643. Сумма трех чисел, образующих арифметическую прогрессию, равна 21. Найдите эти числа, если известно, что, уменьшив второе из них на 1 и увеличив третье на 1, мы получим геометрическую прогрессию.

644. Сумма трех положительных чисел, образующих арифметическую прогрессию, равна 15. Найдите эти числа, если известно, что, увеличив первое и второе числа на 1, а третье на 4, мы получим геометрическую прогрессию.

Упражнения для повторения

645. Найдите координаты точки, принадлежащей графику уравнения х2 - у2 = 30, если известно, что их сумма равна 5.

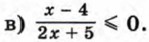
646. Решите неравенство:

    а) 2х2 - 13x - 34 ≥ 0; б) 10x - 4х2 < 0;

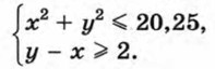
647. Покажите штриховкой на координатной плоскости множество точек, которое задает система неравенств

Ответы

    625.

    626.

    629.

    630.

    631. а) 3 или -3; б) 0,4 или -0,4.

    632. а) 1000;

    633. б) -162; в) -0,001 или 0,001.

    635. а = 1,

    636. 96.

    643. 3, 7, 11 или 12, 7, 2.

    644. 2, 5, 8.

    645. (5,5; -0,5).

    646. а) (-∞; -2] ∪ [8,5; +∞); б) (-∞; 0) ∪ (2,5; +∞); в) (-2,5; 4].

<<< К началу

 

 

???????@Mail.ru